«Վավերացնում եմ»
Հայաստանի Հանրապետության
Նախագահ Ռ. Քոչարյան
10 օգոստոսի 2005 թ.
ՀԱՅԱՍՏԱՆԻ ՀԱՆՐԱՊԵՏՈՒԹՅԱՆ ԿԱՌԱՎԱՐՈՒԹՅՈՒՆ
Ո Ր Ո Շ ՈՒ Մ
14 հուլիսի 2005 թվականի N 1109-Ն
ՀԱՅԱՍՏԱՆԻ ՀԱՆՐԱՊԵՏՈՒԹՅԱՆ ԱՐՄԱՎԻՐԻ ՄԱՐԶԻ ՎԱՂԱՐՇԱՊԱՏԻ ՔԱՂԱՔԱՅԻՆ ՀԱՄԱՅՆՔԻ ՎԱՐՉԱԿԱՆ ՍԱՀՄԱՆՆԵՐՈՒՄ ԳՏՆՎՈՂ` ՊԵՏԱԿԱՆ ՍԵՓԱԿԱՆՈՒԹՅՈՒՆ ՀԱՆԴԻՍԱՑՈՂ ՀՈՂԱՄԱՍԵՐՆ ԱՆՀԱՏՈՒՅՑ ՍԵՓԱԿԱՆՈՒԹՅԱՆ ԻՐԱՎՈՒՆՔՈՎ ՀԱՄԱՅՆՔԻՆ ՓՈԽԱՆՑԵԼՈՒ ՄԱՍԻՆ
Հայաստանի Հանրապետության հողային օրենսգրքի 34-րդ ու 56-րդ և «Տեղական ինքնակառավարման մասին» Հայաստանի Հանրապետության օրենքի 47-րդ ու 84-րդ հոդվածների պահանջներին համապատասխան` Հայաստանի Հանրապետության կառավարությունը որոշում է.
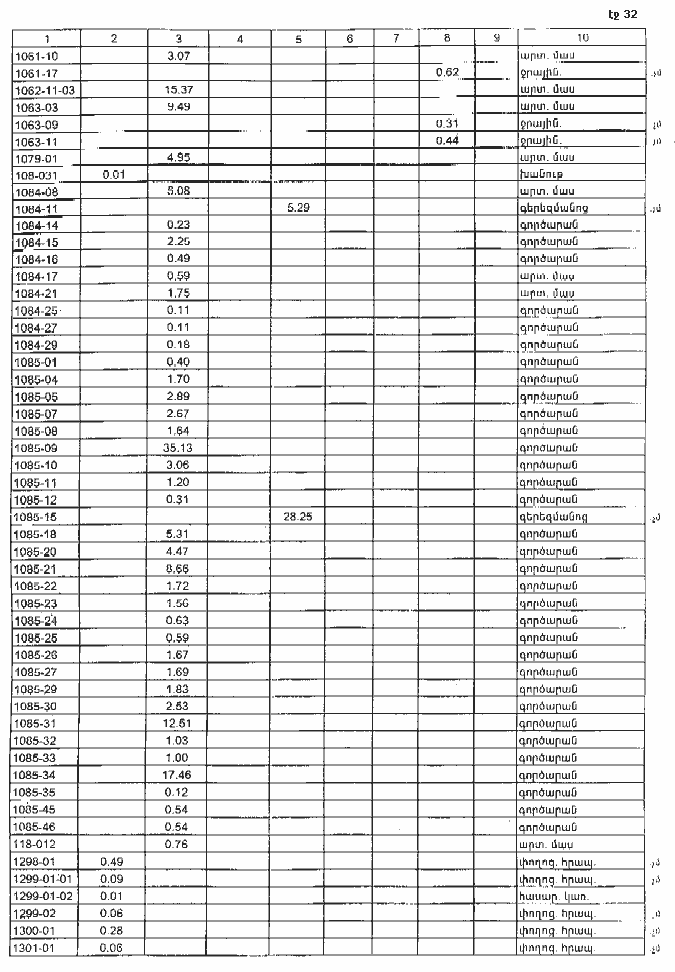
1. Հայաստանի Հանրապետության Արմավիրի մարզի Վաղարշապատի քաղաքային համայնքի վարչական սահմաններում գտնվող՝ պետական սեփականություն հանդիսացող 1756.91 հեկտար հողամասերից 1450.34 հեկտարը, որից՝ գյուղատնտեսական նշանակության՝ 767.42 հեկտար, բնակավայրերի հողերի՝ 330.41 հեկտար, արդյունաբերության, ընդերքօգտագործման և այլ արտադրական նշանակության օբյեկտների՝ 287.35 հեկտար, էներգետիկայի, տրանսպորտի, կապի և կոմունալ ենթակառուցվածքների օբյեկտների՝ 9.16 հեկտար, հատուկ պահպանվող տարածքների՝ 52.3 հեկտար, ջրային հողերի՝ 3.7 հեկտար, անհատույց սեփականության իրավունքով փոխանցել Վաղարշապատի քաղաքային համայնքին՝ համաձայն NN 1, 2, 3 և 4 հավելվածների:
2. Սահմանել, որ Հայաստանի Հանրապետության հողային օրենսգրքի 60-րդ հոդվածի պահանջներին համապատասխան՝
ա) Հայաստանի Հանրապետության Արմավիրի մարզի Վաղարշապատի քաղաքային համայնքին անհատույց սեփականության իրավունքով փոխանցվող 1450.34 հեկտար հողերից 404.53 հեկտարը մասնավորեցման ենթակա չէ.
բ) Հայաստանի Հանրապետության Արմավիրի մարզի Վաղարշապատի քաղաքային համայնքի վարչական սահմաններում գտնվող հողերից 306.57 հեկտարը համարվում է պետական սեփականություն՝ համաձայն N 5 հավելվածի:
3. Ընդունել ի գիտություն Հայաստանի Հանրապետության Արմավիրի մարզի Վաղարշապատի քաղաքային համայնքի հողային ֆոնդի առկայության և բաշխման մասին հաշվետվությունը՝ 2005 թվականի հունվարի 1-ի դրությամբ՝ համաձայն NN 6 և 7 հավելվածների:
4. Հայաստանի Հանրապետության կառավարությանն առընթեր անշարժ գույքի կադաստրի պետական կոմիտեի նախագահին` սահմանված կարգով ապահովել սկզբնական հաշվառման նյութերի տրամադրումը Հայաստանի Հանրապետության Արմավիրի մարզի Վաղարշապատի քաղաքային համայնքի ղեկավարին՝ հողերի ընթացիկ հաշվառումն անցկացնելու և համայնքի հողային հաշվեկշիռը կազմելու համար:
5. Թույլատրել Հայաստանի Հանրապետության կառավարությանն առընթեր անշարժ գույքի կադաստրի պետական կոմիտեի նախագահին Հայաստանի Հանրապետության պետական գեոդեզիական ցանցի հավասարակշռման արդյունքների հիման վրա Հայաստանի Հանրապետության վարչատարածքային միավորների սահմանանիշերի կոորդինատների ժողովածուի հրատարակումից հետո հողային ֆոնդի ընթացիկ հաշվառման ժամանակ Հայաստանի Հանրապետության Արմավիրի մարզի Վաղարշապատի քաղաքային համայնքի հողային հաշվեկշռում սահմանված կարգով կատարել համապատասխան փոփոխություններ:
6. Հայաստանի Հանրապետության Արմավիրի մարզպետին՝ Հայաստանի Հանրապետության կառավարության 2000 թվականի հոկտեմբերի 23-ի N 656 որոշմամբ սահմանված կարգով՝ սկզբնական հաշվառման տվյալների հիման վրա ապահովել մարզի տարածքում ընթացիկ հաշվառման աշխատանքների իրականացումը:
7. Սույն որոշումն ուժի մեջ է մտնում պաշտոնական հրապարակմանը հաջորդող օրվանից։
|
Հայաստանի Հանրապետության |
Ա. Մարգարյան |
|
|
|
Հավելված N 1 |
ՀԱՅԱՍՏԱՆԻ ՀԱՆՐԱՊԵՏՈՒԹՅԱՆ ԱՐՄԱՎԻՐԻ ՄԱՐԶԻ ՎԱՂԱՐՇԱՊԱՏԻ ՔԱՂԱՔԱՅԻՆ ՀԱՄԱՅՆՔԻ ՀՈՂԱՇԻՆԱՐԱՐԱԿԱՆ ՀԱՏԱԿԱԳԻԾԸ
| Հայաստանի Հանրապետության կառավարության աշխատակազմի ղեկավար-նախարար |
Մ. Թոփուզյան |
|
Հավելված N 2 |
Ա Ն Վ Ա Ն Ա Ց Ա Ն Կ
ՀԱՅԱՍՏԱՆԻ ՀԱՆՐԱՊԵՏՈՒԹՅԱՆ ԱՐՄԱՎԻՐԻ ՄԱՐԶԻ ՎԱՂԱՐՇԱՊԱՏ ՔԱՂԱՔԻ ՎԱՐՉԱԿԱՆ ՍԱՀՄԱՆՆԵՐՈՒՄ ԳՏՆՎՈՂ` ՊԵՏԱԿԱՆ ՍԵՓԱԿԱՆՈՒԹՅՈՒՆ ՀԱՆԴԻՍԱՑՈՂ ՀՈՂԵՐԻՑ ՎԱՂԱՐՇԱՊԱՏ ՔԱՂԱՔԻՆ ԱՆՀԱՏՈՒՅՑ ՓՈԽԱՆՑՎՈՂ ՀՈՂԵՐԻ
|
Պայմանական նշանները |
Հողերի նպատակային նշանակությունը |
Համայնքի սեփականությունը հանդիսացող հողերը |
Պետական սեփականություն | ||
|
ընդամենը |
որից` չմասնավորեցվող | ||||
|
|
Գյուղատնտեսական |
767.42 |
181.43 |
125.22 | |
|
|
Բնակավայրերի |
330.41 |
166.10 |
33.53 | |
|
|
Արդյունաբերության, ընդերքօգտագործնան և այլ արտադրական նշանակության օբյեկտների |
287.35 |
|
||
|
|
էներգետիկայի, տրանսպորտի, կապի և կոմունալ |
9.16 |
1.00 |
66.42 | |
|
|
Հատուկ պահպանվող տարածքների |
52.30 |
52.30 |
14.87 | |
|
|
Հատուկ նշանակության |
38.12 | |||
|
|
Անտառային |
7.12 | |||
|
|
Ջրային |
3.70 |
3.70 |
21.29 | |
|
|
Պահուստային |
|
|||
|
Ընդամենը |
1450.34 |
404.53 |
306.57 | ||
| Հայաստանի Հանրապետության կառավարության աշխատակազմի ղեկավար-նախարար |
Մ. Թոփուզյան |
|
Հավելված N 3 |
Ց Ա Ն Կ
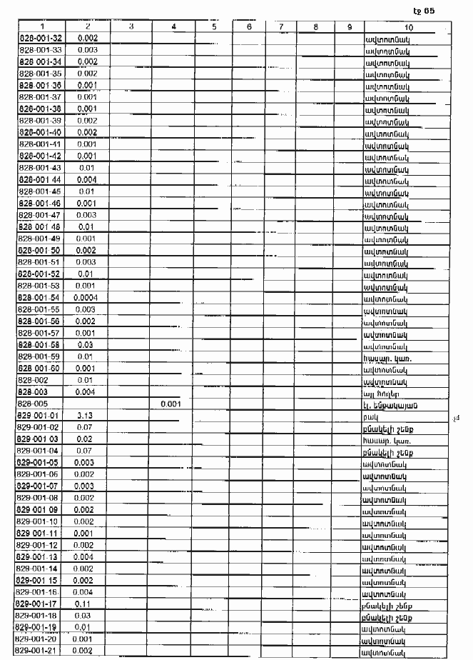
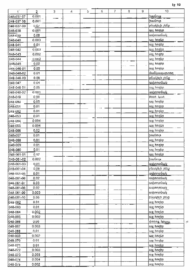
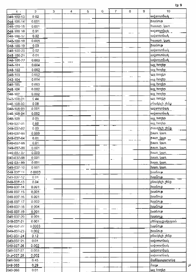
ՀԱՅԱՍՏԱՆԻ ՀԱՆՐԱՊԵՏՈՒԹՅԱՆ ԱՐՄԱՎԻՐԻ ՄԱՐԶԻ ՎԱՂԱՐՇԱՊԱՏ ՔԱՂԱՔԻ ՎԱՐՉԱԿԱՆ ՍԱՀՄԱՆՆԵՐՈՒՄ ԳՏՆՎՈՂ` ՊԵՏԱԿԱՆ ՍԵՓԱԿԱՆՈՒԹՅՈՒՆ ՀԱՆԴԻՍԱՑՈՂ ՀՈՂԵՐԻՑ ՎԱՂԱՐՇԱՊԱՏ ՔԱՂԱՔԻՆ ԱՆՀԱՏՈՒՅՑ ՓՈԽԱՆՑՎՈՂ ՀՈՂԵՐԻ
|
Կադաստրային ծածկագիր |
Գյուղատնտեսական նշանակության հողերը |
Ծանոթագրություն |
| |||||
|
վարելահող |
պտղատու այգի |
խաղողի |
խոտհարք |
արոտ |
այլ հողա- |
| ||
|
1 |
2 |
3 |
4 |
5 |
6 |
7 |
8 |
|
|
079-001 |
|
|
|
|
|
0.12 |
|
|
|
079-002 |
|
|
|
|
|
0.02 |
|
|
|
079-003 |
|
|
|
|
|
0.004 |
|
|
|
079-005 |
|
|
|
|
|
0.07 |
|
|
|
080-007 |
|
|
|
|
|
0.05 |
|
|
|
1001-04 |
|
|
|
|
|
0.07 |
|
|
|
1001-64 |
|
|
|
|
|
0.001 |
|
|
|
101-001 |
|
|
|
|
|
2.50 |
|
|
|
101-006 |
|
|
|
|
|
1.37 |
|
|
|
1012-01 |
|
|
|
|
|
0.96 |
|
|
|
1017-01 |
13.28 |
|
|
|
|
|
|
|
|
1017-02 |
|
|
|
|
|
1.44 |
|
|
|
1017-03 |
|
|
|
|
|
0.11 |
|
|
|
1018-12 |
|
|
|
|
|
0.62 |
դաշտային ճանապարհ |
.չմ |
|
1019-11 |
|
|
|
|
|
0.26 |
դաշտային ճանապարհ |
.չմ |
|
1020-00 |
|
|
|
|
|
0.27 |
դաշտային ճանապարհ |
.չմ |
|
102-007 |
|
|
|
|
5.48 |
|
|
|
|
102-025 |
|
|
|
|
|
2.41 |
|
|
|
1021-10 |
|
|
|
|
|
2.52 |
|
|
|
1022-06 |
|
|
|
|
|
0.45 |
|
|
|
1023-05 |
|
|
|
|
|
0.62 |
|
|
|
1025-13 |
|
|
|
|
|
0.74 |
|
|
|
1026-09 |
|
|
|
|
|
5.05 |
|
|
|
1029-09 |
|
|
|
|
|
0.07 |
դաշտային ճանապարհ |
.չմ |
|
103-001 |
|
|
|
|
|
34.62 |
|
|
|
1030-05 |
|
|
|
|
|
0.05 |
դաշտային ճանապարհ |
.չմ |
|
103-015 |
|
|
|
|
|
68.60 |
|
|
|
1031-03 |
|
|
|
|
|
0.04 |
դաշտային ճանապարհ |
.չմ |
|
1031-05 |
|
|
|
|
|
0.48 |
դաշտային ճանապարհ |
.չմ |
|
104-001 |
|
|
|
|
|
0.61 |
|
|
|
104-026 |
|
|
|
|
|
0.11 |
|
|
|
104-028 |
|
|
|
|
|
4.66 |
|
|
|
104-029 |
|
|
|
|
|
0.22 |
|
|
|
1042-01 |
|
|
|
|
|
1.18 |
դաշտային ճանապարհ |
.չմ |
|
1042-02 |
85.60 |
|
|
|
|
|
|
|
|
1042-02 |
|
|
|
|
|
0.44 |
|
|
|
1046-03 |
|
|
|
|
|
0.004 |
|
|
|
1046-04 |
|
|
|
|
|
0.01 |
|
|
|
1046-05 |
|
|
|
|
|
0.06 |
|
|
|
1046-06 |
|
|
|
|
|
0.05 |
|
|
|
1046-07 |
|
|
|
|
|
0.04 |
|
|
|
1047-108 |
|
|
|
|
|
0.27 |
|
|
|
1047-109 |
|
|
|
|
|
0.09 |
|
|
|
1047-162 |
|
|
|
|
|
0.02 |
|
|
|
1047-163 |
|
|
|
|
|
0.02 |
|
|
|
1047-01 |
|
|
|
|
|
3.72 |
|
|
|
1047-84 |
|
|
|
|
|
0.83 |
|
|
|
1049-04 |
|
|
|
|
|
0.13 |
|
|
|
1051-03 |
|
|
|
|
|
0.02 |
դաշտային ճանապարհ |
.չմ |
|
1051-05 |
|
|
|
|
|
0.04 |
դաշտային ճանապարհ |
.չմ |
|
1052-02 |
1.92 |
|
|
|
|
|
|
|
|
1052-04 |
|
|
|
|
|
0.97 |
|
|
|
1052-06 |
|
|
|
|
|
0.49 |
|
|
|
1052-07 |
|
|
|
|
|
0.22 |
|
|
|
1052-10 |
|
|
|
|
|
0.02 |
|
|
|
1053-03 |
4.02 |
|
|
|
|
|
|
|
|
1053-09 |
|
|
|
|
|
0.05 |
|
|
|
1053-15 |
|
|
|
|
|
0.11 |
դաշտային ճանապարհ |
.չմ |
|
1053-17 |
|
|
|
|
|
0.39 |
դաշտային ճանապարհ |
.չմ |
|
1053-18 |
|
|
|
|
|
0.19 |
դաշտային ճանապարհ |
.չմ |
|
1053-19 |
1.92 |
|
|
|
|
|
|
|
|
1055-01 |
0.04 |
|
|
|
|
|
|
|
|
1055-03 |
0.08 |
|
|
|
|
|
|
|
|
1055-04 |
|
|
|
|
|
0.01 |
դաշտային ճանապարհ |
.չմ |
|
1055-06 |
|
|
|
|
|
0.01 |
դաշտային ճանապարհ |
.չմ |
|
1055-07 |
0.08 |
|
|
|
|
|
|
|
|
1055-08 |
0.05 |
|
|
|
|
|
|
|
|
1055-09 |
0.04 |
|
|
|
|
|
|
|
|
1055-10 |
0.04 |
|
|
|
|
|
|
|
|
1055-11 |
0.04 |
|
|
|
|
|
|
|
|
1055-12 |
0.04 |
|
|
|
|
|
|
|
|
1055-13 |
0.04 |
|
|
|
|
|
|
|
|
1055-14 |
0.04 |
|
|
|
|
|
|
|
|
1055-15 |
0.04 |
|
|
|
|
|
|
|
|
1055-16 |
0.04 |
|
|
|
|
|
|
|
|
1055-17 |
0.06 |
|
|
|
|
|
|
|
|
1055-18 |
0.03 |
|
|
|
|
|
|
|
|
1055-19 |
|
|
|
|
|
0.01 |
դաշտային ճանապարհ |
.չմ |
|
1056-06 |
|
|
|
|
|
0.81 |
|
|
|
1056-11 |
0.01 |
|
|
|
|
|
|
|
|
1056-12 |
|
|
|
|
|
1.04 |
|
|
|
1056-12 |
|
|
|
|
|
0.22 |
դաշտային ճանապարհ |
.չմ |
|
1056-13 |
|
|
|
|
|
0.13 |
դաշտային ճանապարհ |
.չմ |
|
1057-03 |
1.99 |
|
|
|
|
|
|
|
|
1057-04 |
2.20 |
|
|
|
|
|
|
|
|
1058-09 |
|
|
|
|
|
0.11 |
|
|
|
1059-05 |
|
|
|
|
|
0.22 |
դաշտային ճանապարհ |
.չմ |
|
1059-06 |
|
|
|
|
|
0.12 |
|
|
|
106-002 |
|
|
|
|
|
0.03 |
|
|
|
106-004 |
|
|
|
|
|
0.09 |
|
|
|
1060-06 |
|
|
|
|
|
0.11 |
դաշտային ճանապարհ |
.չմ |
|
1060-07 |
|
|
|
|
|
0.49 |
դաշտային ճանապարհ |
.չմ |
|
106-011 |
|
|
|
|
|
0.02 |
|
|
|
1060-20 |
|
|
|
|
|
0.46 |
|
|
|
1060-21 |
|
|
|
|
|
0.15 |
դաշտային ճանապարհ |
.չմ |
|
1061-04 |
|
|
|
|
|
0.15 |
դաշտային ճանապարհ |
.չմ |
|
1061-11 |
|
|
|
|
|
0.34 |
|
|
|
1061-12 |
|
|
|
|
|
0.55 |
դաշտային ճանապարհ |
.չմ |
|
1061-23 |
|
|
|
|
|
0.08 |
դաշտային ճանապարհ |
.չմ |
|
1062-11-01 |
|
|
|
|
|
2.24 |
|
|
|
1062-11-02 |
6.20 |
|
|
|
|
|
|
|
|
1062-14 |
3.02 |
|
|
|
|
|
|
|
|
1062-17 |
|
|
|
|
|
1.84 |
դաշտային ճանապարհ |
.չմ |
|
1063-01 |
4.79 |
|
|
|
|
|
|
|
|
1063-01-04 |
|
|
|
|
|
4.19 |
|
|
|
1063-02-01 |
4.61 |
|
|
|
|
|
|
|
|
1063-02-02 |
7.25 |
|
|
|
|
|
|
|
|
1063-02-03 |
4.63 |
|
|
|
|
|
|
|
|
1063-04-01 |
6.59 |
|
|
|
|
|
|
|
|
1063-04-02 |
8.03 |
|
|
|
|
|
|
|
|
1063-04-03 |
|
|
|
|
|
2.75 |
|
|
|
1063-04-04 |
|
|
|
|
|
1.95 |
|
|
|
1063-04-05 |
|
|
|
|
|
0.35 |
|
|
|
1064-01-01 |
3.90 |
|
|
|
|
|
|
|
|
113-001 |
|
|
|
|
|
0.40 |
|
|
|
114-009 |
|
|
|
|
|
0.02 |
|
|
|
115-001 |
|
|
|
|
|
1.61 |
|
|
|
116-011 |
|
|
|
|
|
0.09 |
|
|
|
117-004 |
|
|
|
|
|
0.09 |
|
|
|
117-018 |
|
|
|
|
|
0.08 |
|
|
|
117-019 |
|
|
|
|
|
0.08 |
|
|
|
118-001 |
|
|
|
|
|
0.17 |
|
|
|
118-011 |
|
|
|
|
|
0.68 |
|
|
|
118-015 |
|
|
|
|
|
0.12 |
|
|
|
118-028 |
|
|
|
|
|
0.04 |
|
|
|
119-001 |
|
|
|
|
|
0.16 |
|
|
|
120-001 |
|
|
|
|
|
0.16 |
|
|
|
121-008 |
|
|
|
|
|
0.11 |
|
|
|
122-013 |
|
|
|
|
|
0.06 |
|
|
|
123-013 |
|
|
|
|
|
0.06 |
|
|
|
124-013 |
|
|
|
|
|
0.07 |
|
|
|
125-001 |
|
|
|
|
|
0.07 |
|
|
|
128-001 |
|
|
|
|
|
0.13 |
|
|
|
129-001 |
|
|
|
|
|
0.34 |
|
|
|
1297-01 |
|
|
|
|
|
0.21 |
դաշտային ճանապարհ |
.չմ |
|
1298-02 |
|
|
|
|
|
0.42 |
դաշտային ճանապարհ |
.չմ |
|
130-003 |
|
|
|
|
|
0.03 |
|
|
|
1302-01 |
|
|
|
|
|
0.12 |
դաշտային ճանապարհ |
.չմ |
|
1303-01 |
|
|
|
|
|
0.13 |
դաշտային ճանապարհ |
.չմ |
|
1304-01 |
|
|
|
|
|
0.11 |
դաշտային ճանապարհ |
.չմ |
|
1305-01 |
|
|
|
|
|
0.40 |
դաշտային ճանապարհ |
.չմ |
|
1306-01 |
|
|
|
|
|
0.10 |
դաշտային ճանապարհ |
.չմ |
|
1307-01 |
|
|
|
|
|
0.29 |
դաշտային ճանապարհ |
.չմ |
|
1308-01 |
|
|
|
|
|
0.07 |
դաշտային ճանապարհ |
.չմ |
|
1309-01 |
|
|
|
|
|
0.07 |
դաշտային ճանապարհ |
.չմ |
|
1310-01 |
|
|
|
|
|
0.22 |
դաշտային ճանապարհ |
.չմ |
|
131-003 |
|
|
|
|
|
0.04 |
|
|
|
1311-01 |
|
|
|
|
|
0.21 |
դաշտային ճանապարհ |
.չմ |
|
1315-01 |
|
|
|
|
|
0.42 |
դաշտային ճանապարհ |
.չմ |
|
1318-01 |
|
|
|
|
|
0.03 |
դաշտային ճանապարհ |
.չմ |
|
1319-01 |
|
|
|
|
|
0.36 |
|
|
|
1319-02 |
|
|
|
|
|
0.04 |
|
|
|
1320-01 |
|
|
|
|
|
0.12 |
|
|
|
132-003 |
|
|
|
|
|
0.04 |
|
|
|
1323-01 |
|
|
|
|
|
0.18 |
դաշտային ճանապարհ |
.չմ |
|
1327-01 |
|
|
|
|
|
0.15 |
դաշտային ճանապարհ |
.չմ |
|
1329-01 |
|
|
|
|
|
0.09 |
|
|
|
1329-02 |
|
|
|
|
|
0.66 |
դաշտային ճանապարհ |
.չմ |
|
1329-04 |
|
|
|
|
|
0.30 |
դաշտային ճանապարհ |
.չմ |
|
1329-05 |
|
|
|
|
|
0.03 |
|
|
|
133-002 |
|
|
|
|
|
0.05 |
|
|
|
1330-02 |
|
|
|
|
|
0.37 |
|
|
|
1330-03 |
|
|
|
|
|
0.17 |
|
|
|
1330-04 |
|
|
|
|
|
0.40 |
|
|
|
1330-16 |
0.01 |
|
|
|
|
|
|
|
|
1330-17 |
0.01 |
|
|
|
|
|
|
|
|
1331-01 |
|
|
|
|
|
0.16 |
դաշտային ճանապարհ |
.չմ |
|
1332-01 |
|
|
|
|
|
0.11 |
դաշտային ճանապարհ |
.չմ |
|
1333-01 |
|
|
|
|
|
0.11 |
դաշտային ճանապարհ |
.չմ |
|
1334-01 |
|
|
|
|
|
0.36 |
դաշտային ճանապարհ |
.չմ |
|
1335-01 |
|
|
|
|
|
0.73 |
դաշտային ճանապարհ |
.չմ |
|
1336-01 |
|
|
|
|
|
1.49 |
դաշտային ճանապարհ |
.չմ |
|
1337-01 |
|
|
|
|
|
0.13 |
դաշտային ճանապարհ |
.չմ |
|
1339-01 |
|
|
|
|
|
0.16 |
դաշտային ճանապարհ |
.չմ |
|
1340-01 |
|
|
|
|
|
0.07 |
դաշտային ճանապարհ |
.չմ |
|
1341-01 |
|
|
|
|
|
0.35 |
դաշտային ճանապարհ |
.չմ |
|
1341-02 |
|
|
|
|
|
0.62 |
դաշտային ճանապարհ |
.չմ |
|
1342-01 |
|
|
|
|
|
0.26 |
դաշտային ճանապարհ |
.չմ |
|
1343-01 |
|
|
|
|
|
0.47 |
դաշտային ճանապարհ |
.չմ |
|
1343-02 |
|
|
|
|
|
0.46 |
դաշտային ճանապարհ |
.չմ |
|
1064-01-02 |
2.34 |
|
|
|
|
|
|
|
|
1064-01-03 |
4.81 |
|
|
|
|
|
|
|
|
1064-01-04 |
5.69 |
|
|
|
|
|
|
|
|
1064-01-05 |
3.43 |
|
|
|
|
|
|
|
|
1064-01-06 |
1.63 |
|
|
|
|
|
|
|
|
1064-01-07 |
0.54 |
|
|
|
|
|
|
|
|
1064-01-08 |
|
|
|
|
|
7.90 |
|
|
|
1064-05 |
|
|
|
|
|
0.82 |
դաշտային ճանապարհ |
.չմ |
|
1065-03 |
|
|
|
|
|
1.10 |
|
|
|
1066-03 |
|
|
|
|
|
1.60 |
դաշտային ճանապարհ |
.չմ |
|
107-001 |
|
|
|
|
|
0.64 |
|
|
|
1071-01 |
6.61 |
|
|
|
|
|
|
|
|
1075-01 |
7.49 |
|
|
|
|
|
|
|
|
1076-03 |
|
|
|
|
|
1.27 |
|
|
|
1077-11 |
|
|
|
|
|
2.68 |
|
|
|
1077-16 |
5.22 |
|
|
|
|
|
|
|
|
1078-01 |
14.98 |
|
|
|
|
|
|
|
|
1079-02 |
|
|
|
|
|
1.03 |
|
|
|
108-008 |
|
|
|
|
|
0.82 |
|
|
|
108-032 |
|
|
|
|
|
0.22 |
|
|
|
1084-04 |
|
|
|
|
|
0.01 |
|
|
|
1084-05-01 |
|
|
|
|
|
0.80 |
|
|
|
1084-07 |
|
|
|
|
|
0.05 |
դաշտային ճանապարհ |
.չմ |
|
1084-09 |
|
|
|
|
|
0.57 |
|
|
|
1084-10 |
|
|
|
|
|
0.49 |
|
|
|
1084-12 |
|
|
|
|
|
0.29 |
դաշտային ճանապարհ |
.չմ |
|
1084-13 |
|
|
|
|
|
0.01 |
դաշտային ճանապարհ |
.չմ |
|
1084-18 |
|
|
|
|
|
0.10 |
|
|
|
1084-19 |
|
|
|
|
|
0.19 |
դաշտային ճանապարհ |
.չմ |
|
1084-20 |
|
|
|
|
|
0.09 |
դաշտային ճանապարհ |
.չմ |
|
1084-22 |
|
|
|
|
|
0.01 |
|
|
|
1084-23 |
|
|
|
|
|
0.23 |
|
|
|
1084-24 |
|
|
|
|
|
0.02 |
դաշտային ճանապարհ |
.չմ |
|
1084-26 |
|
|
|
|
|
0.03 |
դաշտային ճանապարհ |
.չմ |
|
1084-28 |
|
|
|
|
|
0.02 |
դաշտային ճանապարհ |
.չմ |
|
1084-30 |
|
|
|
|
|
0.07 |
դաշտային ճանապարհ |
.չմ |
|
1084-31 |
|
|
|
|
|
0.11 |
|
|
|
1084-32 |
|
|
|
|
|
0.06 |
|
|
|
1084-33 |
|
|
|
|
|
0.05 |
|
|
|
1085-02 |
|
|
|
|
|
0.40 |
|
|
|
1085-06 |
|
|
|
|
9.57 |
|
|
|
|
1085-17 |
|
|
|
|
|
1.33 |
դաշտային ճանապարհ |
.չմ |
|
1085-28 |
|
|
|
|
|
0.55 |
|
|
|
1085-36 |
|
|
|
|
|
0.02 |
դաշտային ճանապարհ |
.չմ |
|
1085-37 |
|
|
|
|
|
0.64 |
դաշտային ճանապարհ |
.չմ |
|
1085-38 |
|
|
|
|
|
0.23 |
|
|
|
1085-39 |
|
|
|
|
|
0.05 |
դաշտային ճանապարհ |
.չմ |
|
1085-40 |
|
|
|
|
|
0.23 |
դաշտային ճանապարհ |
.չմ |
|
1085-41 |
|
|
|
|
|
0.27 |
դաշտային ճանապարհ |
.չմ |
|
1085-42 |
|
|
|
|
|
0.85 |
դաշտային ճանապարհ |
.չմ |
|
1085-43 |
|
|
|
|
|
0.02 |
դաշտային ճանապարհ |
.չմ |
|
1085-44 |
|
|
|
|
|
0.10 |
դաշտային ճանապարհ |
.չմ |
|
1085-47 |
|
|
|
|
|
0.49 |
|
|
|
1085-48 |
|
|
|
|
|
0.02 |
|
|
|
1085-49 |
|
|
|
|
|
0.03 |
|
|
|
1085-50 |
|
|
|
|
|
0.02 |
դաշտային ճանապարհ |
.չմ |
|
1085-51 |
|
|
|
|
|
0.26 |
|
|
|
1085-52 |
|
|
|
|
|
0.01 |
դաշտային ճանապարհ |
.չմ |
|
1085-53 |
|
|
|
|
|
0.07 |
|
|
|
1085-54 |
|
|
|
|
|
0.01 |
դաշտային ճանապարհ |
.չմ |
|
1085-55 |
|
|
|
|
|
0.09 |
|
|
|
1085-56 |
|
|
|
|
|
0.04 |
|
|
|
1086-01 |
|
|
|
|
|
0.10 |
|
|
|
1086-02 |
|
|
|
|
|
0.01 |
|
|
|
1087-01 |
|
|
|
|
|
0.10 |
|
|
|
109-002 |
|
|
|
|
|
0.31 |
|
|
|
1343-03 |
|
|
|
|
|
0.24 |
|
|
|
1343-04 |
|
|
|
|
|
2.10 |
դաշտային ճանապարհ |
.չմ |
|
1343-06 |
|
|
|
|
|
1.17 |
դաշտային ճանապարհ |
.չմ |
|
1345-01 |
|
|
|
|
|
0.55 |
դաշտային ճանապարհ |
.չմ |
|
1345-03 |
|
|
|
|
|
0.97 |
դաշտային ճանապարհ |
.չմ |
|
1345-04 |
|
|
|
|
|
0.08 |
դաշտային ճանապարհ |
.չմ |
|
1355-01 |
|
|
|
|
|
0.48 |
դաշտային ճանապարհ |
.չմ |
|
1357-01 |
|
|
|
|
|
0.46 |
դաշտային ճանապարհ |
.չմ |
|
1358-01 |
|
|
|
|
|
0.36 |
դաշտային ճանապարհ |
.չմ |
|
1359-01 |
|
|
|
|
|
0.51 |
դաշտային ճանապարհ |
.չմ |
|
1376-01 |
|
|
|
|
|
0.60 |
դաշտային ճանապարհ |
.չմ |
|
1377-01 |
|
|
|
|
|
0.20 |
դաշտային ճանապարհ |
.չմ |
|
1407-01 |
|
|
|
|
|
0.94 |
դաշտային ճանապարհ |
.չմ |
|
141-001 |
|
|
|
|
|
0.90 |
|
|
|
1416-02 |
|
|
|
|
|
0.001 |
|
|
|
1416-08 |
|
|
|
|
|
3.34 |
|
|
|
1416-12 |
|
|
|
|
|
0.07 |
|
|
|
1416-13 |
|
|
|
|
|
0.05 |
|
|
|
1417-01 |
|
|
|
|
|
0.06 |
դաշտային ճանապարհ |
.չմ |
|
1419-01 |
|
|
|
|
|
0.61 |
դաշտային ճանապարհ |
.չմ |
|
1419-02 |
|
|
|
|
|
0.31 |
դաշտային ճանապարհ |
.չմ |
|
142-005 |
|
|
|
|
|
0.06 |
|
|
|
1421-01 |
|
|
|
|
|
0.82 |
դաշտային ճանապարհ |
.չմ |
|
1423-03 |
|
|
|
|
|
0.08 |
|
|
|
1423-06 |
|
|
|
|
|
0.05 |
|
|
|
143-001 |
|
|
|
|
|
0.18 |
|
|
|
1430-01 |
|
|
|
|
|
0.02 |
դաշտային ճանապարհ |
.չմ |
|
1430-02 |
|
|
|
|
|
0.19 |
|
|
|
1430-03 |
|
|
|
|
|
0.02 |
|
|
|
1430-04 |
|
|
|
|
|
0.69 |
դաշտային ճանապարհ |
.չմ |
|
1430-05 |
|
|
|
|
|
0.28 |
|
|
|
1430-07 |
|
|
|
|
|
0.98 |
դաշտային ճանապարհ |
.չմ |
|
1430-08 |
|
|
|
|
|
0.91 |
|
|
|
143-012 |
|
|
|
|
|
0.08 |
|
|
|
1435-01 |
|
|
|
|
|
0.05 |
դաշտային ճանապարհ |
.չմ |
|
144-001 |
|
|
|
|
|
0.09 |
|
|
|
144-014 |
|
|
|
|
|
0.34 |
|
|
|
146-017 |
|
|
|
|
|
0.12 |
|
|
|
147-001 |
|
|
|
|
|
0.37 |
|
|
|
147-007 |
|
|
|
|
|
0.06 |
|
|
|
147-023 |
|
|
|
|
|
0.82 |
|
|
|
149-002 |
|
|
|
|
|
1.97 |
|
|
|
150-024 |
|
|
|
|
|
0.15 |
|
|
|
151-006 |
|
|
|
|
|
0.72 |
|
|
|
151-018 |
|
|
|
|
|
0.46 |
|
|
|
152-020 |
|
|
|
|
|
0.84 |
|
|
|
152-021 |
|
|
|
|
|
0.46 |
|
|
|
153-001 |
|
|
|
|
|
0.17 |
|
|
|
157-004 |
|
|
|
|
|
0.02 |
|
|
|
158-006 |
|
|
|
|
|
0.03 |
|
|
|
159-001 |
|
|
|
|
|
0.07 |
|
|
|
160-001-01 |
|
|
|
|
|
1.12 |
|
|
|
160-014 |
|
|
|
|
|
0.01 |
|
|
|
161-005 |
|
|
|
|
|
0.10 |
|
|
|
161-043 |
|
|
|
|
|
0.36 |
|
|
|
161-047 |
|
|
|
|
|
0.02 |
|
|
|
161-053 |
|
|
|
|
|
0.04 |
|
|
|
161-059 |
|
|
|
|
|
0.19 |
|
|
|
161-064 |
|
|
|
|
|
0.27 |
|
|
|
161-078 |
|
|
|
|
|
0.03 |
|
|
|
161-079 |
|
|
|
|
|
0.02 |
|
|
|
161-080 |
|
|
|
|
|
0.19 |
|
|
|
161-089 |
|
|
|
|
|
0.13 |
|
|
|
161-090 |
|
|
|
|
|
0.04 |
|
|
|
163-004 |
|
|
|
|
|
0.18 |
|
|
|
163-005 |
|
|
|
|
|
0.01 |
|
|
|
163-006 |
|
|
|
|
|
0.02 |
|
|
|
164-002 |
|
|
|
|
|
0.09 |
|
|
|
165-002 |
|
|
|
|
|
0.04 |
|
|
|
166-003 |
|
|
|
|
|
0.04 |
|
|
|
167-006 |
|
|
|
|
|
0.31 |
|
|
|
167-008 |
|
|
|
|
|
0.15 |
|
|
|
169-001 |
|
|
|
|
|
0.08 |
|
|
|
170-002 |
|
|
|
|
|
0.07 |
|
|
|
174-003 |
|
|
|
|
|
0.04 |
|
|
|
175-001 |
|
|
|
|
|
3.63 |
|
|
|
175-019 |
|
|
|
|
|
0.08 |
|
|
|
176-002 |
|
|
|
|
|
0.14 |
|
|
|
176-015 |
|
|
|
|
|
0.05 |
|
|
|
176-016 |
|
|
|
|
|
0.21 |
|
|
|
177-002 |
|
|
|
|
|
0.09 |
|
|
|
177-015 |
|
|
|
|
|
0.09 |
|
|
|
178-002 |
|
|
|
|
|
0.03 |
|
|
|
178-015 |
|
|
|
|
|
0.07 |
|
|
|
179-001 |
|
|
|
|
|
2.42 |
|
|
|
180-002 |
|
|
|
|
|
0.64 |
|
|
|
180-031 |
|
|
|
|
|
0.91 |
|
|
|
181-001 |
|
|
|
|
|
1.32 |
|
|
|
181-023 |
|
|
|
|
|
0.16 |
|
|
|
181-024 |
|
|
|
|
|
0.12 |
|
|
|
181-029 |
|
|
|
|
|
0.17 |
|
|
|
181-032 |
|
|
|
|
|
0.26 |
|
|
|
181-033 |
|
|
|
|
|
0.05 |
|
|
|
182-001-01 |
|
|
|
|
|
0.17 |
|
|
|
182-004 |
|
|
|
|
|
0.11 |
դաշտային ճանապարհ |
.չմ |
|
182-008 |
|
|
|
|
|
0.02 |
|
|
|
185-004 |
|
|
|
|
|
0.25 |
|
|
|
186-025 |
|
|
|
|
|
0.03 |
|
|
|
186-026 |
|
|
|
|
|
0.04 |
|
|
|
186-038 |
|
|
|
|
|
0.30 |
|
|
|
186-039 |
|
|
|
|
|
0.29 |
|
|
|
188-005 |
|
|
|
|
|
0.04 |
|
|
|
188-019 |
|
|
|
|
|
0.15 |
|
|
|
191-013 |
|
|
|
|
|
0.12 |
|
|
|
191-014 |
|
|
|
|
|
0.08 |
|
|
|
191-015 |
|
|
|
|
|
0.06 |
|
|
|
191-017 |
|
|
|
|
|
0.19 |
|
|
|
195-001-01 |
|
|
|
|
|
0.49 |
|
|
|
196-023 |
|
|
|
|
|
1.12 |
|
|
|
197-032 |
|
|
|
|
|
0.22 |
|
|
|
198-001 |
|
|
|
|
|
0.36 |
|
|
|
199-048 |
|
|
|
|
|
0.20 |
|
|
|
199-056 |
|
|
|
|
|
0.27 |
|
|
|
199-083 |
|
|
|
|
|
0.46 |
|
|
|
199-084 |
|
|
|
|
|
0.64 |
|
|
|
200-022-01 |
|
|
|
|
|
1.60 |
|
|
|
200-024 |
|
|
|
|
|
0.11 |
|
|
|
200-025 |
|
|
|
|
|
0.07 |
|
|
|
200-029-01 |
|
|
|
|
|
0.87 |
|
|
|
200-031 |
|
|
|
|
|
0.08 |
|
|
|
200-032 |
|
|
|
|
|
0.45 |
|
|
|
200-033 |
|
|
|
|
|
0.09 |
|
|
|
200-034 |
|
|
|
|
|
0.01 |
|
|
|
200-035 |
|
|
|
|
|
0.19 |
|
|
|
2001-01 |
|
|
|
|
|
1.02 |
դաշտային ճանապարհ |
.չմ |
|
2001-02 |
|
|
|
|
|
1.34 |
դաշտային ճանապարհ |
.չմ |
|
2002-01 |
|
|
|
|
|
0.78 |
դաշտային ճանապարհ |
.չմ |
|
2003-01 |
|
|
|
|
|
0.82 |
դաշտային ճանապարհ |
.չմ |
|
2004-01 |
|
|
|
|
|
0.29 |
դաշտային ճանապարհ |
.չմ |
|
2005-01 |
|
|
|
|
|
0.27 |
դաշտային ճանապարհ |
.չմ |
|
2006-01 |
|
|
|
|
|
0.03 |
|
|
|
2006-02 |
|
|
|
|
|
0.02 |
|
|
|
2007-01 |
|
|
|
|
|
1.66 |
դաշտային ճանապարհ |
.չմ |
|
2008-01 |
|
|
|
|
|
0.64 |
դաշտային ճանապարհ |
.չմ |
|
2009-01 |
|
|
|
|
|
0.48 |
դաշտային ճանապարհ |
.չմ |
|
2010-01 |
|
|
|
|
|
0.49 |
դաշտային ճանապարհ |
.չմ |
|
2011-01 |
|
|
|
|
|
0.37 |
դաշտային ճանապարհ |
.չմ |
|
2012-01 |
|
|
|
|
|
2.39 |
դաշտային ճանապարհ |
.չմ |
|
2013-01 |
|
|
|
|
|
0.42 |
դաշտային ճանապարհ |
.չմ |
|
2014-01 |
|
|
|
|
|
1.20 |
դաշտային ճանապարհ |
.չմ |
|
2015-01 |
|
|
|
|
|
0.82 |
դաշտային ճանապարհ |
.չմ |
|
2015-02 |
|
|
|
|
|
1.00 |
դաշտային ճանապարհ |
.չմ |
|
2015-03 |
|
|
|
|
|
0.19 |
դաշտային ճանապարհ |
.չմ |
|
2015-04 |
|
|
|
|
|
0.08 |
դաշտային ճանապարհ |
.չմ |
|
2016-01 |
|
|
|
|
|
0.36 |
դաշտային ճանապարհ |
.չմ |
|
2017-01 |
|
|
|
|
|
0.04 |
դաշտային ճանապարհ |
.չմ |
|
2017-02 |
|
|
|
|
|
0.50 |
դաշտային ճանապարհ |
.չմ |
|
2018-01 |
|
|
|
|
|
0.15 |
դաշտային ճանապարհ |
.չմ |
|
2019-01 |
|
|
|
|
|
0.12 |
դաշտային ճանապարհ |
.չմ |
|
2020-01 |
|
|
|
|
|
0.08 |
դաշտային ճանապարհ |
.չմ |
|
202-038 |
|
|
|
|
|
0.05 |
|
|
|
202-040 |
|
|
|
|
|
0.11 |
|
|
|
202-041 |
|
|
|
|
|
0.14 |
|
|
|
202-042 |
|
|
|
|
|
0.01 |
|
|
|
2021-01 |
|
|
|
|
|
0.09 |
դաշտային ճանապարհ |
.չմ |
|
2022-01 |
|
|
|
|
|
1.10 |
դաշտային ճանապարհ |
.չմ |
|
2023-01 |
|
|
|
|
|
2.58 |
դաշտային ճանապարհ |
.չմ |
|
2024-01 |
|
|
|
|
|
0.98 |
դաշտային ճանապարհ |
.չմ |
|
2025-01 |
|
|
|
|
|
0.60 |
դաշտային ճանապարհ |
.չմ |
|
2025-02-01 |
|
|
|
|
|
0.09 |
դաշտային ճանապարհ |
.չմ |
|
2026-01 |
|
|
|
|
|
0.30 |
դաշտային ճանապարհ |
.չմ |
|
2027-01 |
|
|
|
|
|
0.29 |
դաշտային ճանապարհ |
.չմ |
|
2028-01 |
|
|
|
|
|
0.69 |
դաշտային ճանապարհ |
.չմ |
|
2029-01 |
|
|
|
|
|
0.13 |
դաշտային ճանապարհ |
.չմ |
|
2030-01 |
|
|
|
|
|
0.92 |
դաշտային ճանապարհ |
.չմ |
|
2044-01 |
|
|
|
|
|
0.31 |
դաշտային ճանապարհ |
.չմ |
|
2045-01 |
|
|
|
|
|
0.41 |
դաշտային ճանապարհ |
.չմ |
|
205-004 |
|
|
|
|
|
0.08 |
|
|
|
205-017 |
|
|
|
|
|
0.33 |
|
|
|
205-018 |
|
|
|
|
|
0.09 |
|
|
|
2103-01 |
|
|
|
|
|
0.30 |
դաշտային ճանապարհ |
.չմ |
|
2104-01 |
|
|
|
|
|
0.37 |
դաշտային ճանապարհ |
.չմ |
|
2104-02 |
|
|
|
|
|
0.02 |
|
|
|
2104-03 |
|
|
|
|
|
0.77 |
դաշտային ճանապարհ |
.չմ |
|
2104-04 |
4.41 |
|
|
|
|
|
|
|
|
2104-05 |
|
|
|
|
|
0.01 |
|
|
|
2104-06 |
|
|
|
|
|
0.08 |
|
|
|
2104-07 |
|
|
|
|
|
0.51 |
դաշտային ճանապարհ |
.չմ |
|
2121-01 |
|
|
|
|
|
0.57 |
դաշտային ճանապարհ |
.չմ |
|
2121-02 |
|
|
|
|
|
0.10 |
|
|
|
2132-01 |
|
|
|
|
|
0.05 |
դաշտային ճանապարհ |
.չմ |
|
2133-01 |
|
|
|
|
|
0.18 |
դաշտային ճանապարհ |
.չմ |
|
2134-01 |
|
|
|
|
|
0.06 |
դաշտային ճանապարհ |
.չմ |
|
216-003 |
|
|
|
|
|
0.05 |
|
|
|
216-008 |
|
|
|
|
|
0.19 |
|
|
|
217-010 |
|
|
|
|
|
0.28 |
|
|
|
219-001 |
|
|
|
|
|
0.11 |
|
|
|
223-008 |
|
|
|
|
|
0.12 |
|
|
|
226-018 |
|
|
|
|
|
0.13 |
|
|
|
226-027 |
|
|
|
|
|
0.04 |
|
|
|
227-006 |
|
|
|
|
|
0.08 |
|
|
|
2275-01 |
|
|
|
|
|
0.12 |
դաշտային ճանապարհ |
.չմ |
|
2277-01 |
|
|
|
|
|
0.34 |
դաշտային ճանապարհ |
.չմ |
|
2278-01 |
|
|
|
|
|
0.39 |
դաշտային ճանապարհ |
.չմ |
|
2279-01 |
|
|
|
|
|
0.31 |
դաշտային ճանապարհ |
.չմ |
|
2280-01 |
|
|
|
|
|
0.11 |
դաշտային ճանապարհ |
.չմ |
|
228-001-01 |
|
|
|
|
|
0.50 |
|
|
|
2280-02 |
|
|
|
|
|
0.09 |
|
|
|
2298-01 |
|
|
|
|
|
0.01 |
|
|
|
230-014 |
|
|
|
|
|
0.09 |
|
|
|
2309-01 |
|
|
|
|
|
0.19 |
դաշտային ճանապարհ |
.չմ |
|
2310-01 |
|
|
|
|
|
0.80 |
դաշտային ճանապարհ |
.չմ |
|
2310-02 |
|
|
|
|
|
2.85 |
դաշտային ճանապարհ |
.չմ |
|
2311-01 |
|
|
|
|
|
0.56 |
դաշտային ճանապարհ |
.չմ |
|
2312-01 |
|
|
|
|
|
0.78 |
դաշտային ճանապարհ |
.չմ |
|
2313-01 |
|
|
|
|
|
0.04 |
դաշտային ճանապարհ |
.չմ |
|
2314-01 |
|
|
|
|
|
0.15 |
դաշտային ճանապարհ |
.չմ |
|
2315-01 |
|
|
|
|
|
0.11 |
դաշտային ճանապարհ |
.չմ |
|
2316-01 |
|
|
|
|
|
0.06 |
դաշտային ճանապարհ |
.չմ |
|
2317-01 |
|
|
|
|
|
0.06 |
դաշտային ճանապարհ |
.չմ |
|
2318-01 |
|
|
|
|
|
0.14 |
դաշտային ճանապարհ |
.չմ |
|
2319-01 |
|
|
|
|
|
0.07 |
դաշտային ճանապարհ |
.չմ |
|
2320-01 |
|
|
|
|
|
0.74 |
դաշտային ճանապարհ |
.չմ |
|
2321-01 |
|
|
|
|
|
1.27 |
դաշտային ճանապարհ |
.չմ |
|
2321-02 |
|
|
|
|
|
0.38 |
դաշտային ճանապարհ |
.չմ |
|
2322-01 |
|
|
|
|
|
1.92 |
դաշտային ճանապարհ |
.չմ |
|
2322-02 |
|
|
|
|
|
0.12 |
դաշտային ճանապարհ |
.չմ |
|
2323-01 |
|
|
|
|
|
0.24 |
դաշտային ճանապարհ |
.չմ |
|
2324-01 |
|
|
|
|
|
0.40 |
դաշտային ճանապարհ |
.չմ |
|
2325-01 |
|
|
|
|
|
0.41 |
դաշտային ճանապարհ |
.չմ |
|
2326-01 |
|
|
|
|
|
0.11 |
դաշտային ճանապարհ |
.չմ |
|
2327-01 |
|
|
|
|
|
0.08 |
դաշտային ճանապարհ |
.չմ |
|
2328-01 |
|
|
|
|
|
0.08 |
դաշտային ճանապարհ |
.չմ |
|
2329-01 |
|
|
|
|
|
0.17 |
դաշտային ճանապարհ |
.չմ |
|
2330-01 |
|
|
|
|
|
0.34 |
դաշտային ճանապարհ |
.չմ |
|
2331-01 |
|
|
|
|
|
0.36 |
դաշտային ճանապարհ |
.չմ |
|
2332-01 |
|
|
|
|
|
1.83 |
դաշտային ճանապարհ |
.չմ |
|
2333-01 |
|
|
|
|
|
0.46 |
դաշտային ճանապարհ |
.չմ |
|
2333-02 |
|
|
|
|
|
0.07 |
դաշտային ճանապարհ |
.չմ |
|
2333-03 |
|
|
|
|
|
0.11 |
դաշտային ճանապարհ |
.չմ |
|
2334-01 |
|
|
|
|
|
1.39 |
դաշտային ճանապարհ |
.չմ |
|
2335-01 |
|
|
|
|
|
0.24 |
դաշտային ճանապարհ |
.չմ |
|
2336-01 |
|
|
|
|
|
0.53 |
դաշտային ճանապարհ |
.չմ |
|
2337-01 |
|
|
|
|
|
0.71 |
դաշտային ճանապարհ |
.չմ |
|
2338-01 |
|
|
|
|
|
0.28 |
դաշտային ճանապարհ |
.չմ |
|
2339-01 |
|
|
|
|
|
0.13 |
|
|
|
2340-01 |
|
|
|
|
|
0.62 |
դաշտային ճանապարհ |
.չմ |
|
2340-02 |
|
|
|
|
|
0.18 |
դաշտային ճանապարհ |
.չմ |
|
234-016 |
|
|
|
|
|
0.11 |
|
|
|
2341-01 |
|
|
|
|
|
0.20 |
դաշտային ճանապարհ |
.չմ |
|
2342-01 |
|
|
|
|
|
1.08 |
դաշտային ճանապարհ |
.չմ |
|
2342-02 |
|
|
|
|
|
2.01 |
դաշտային ճանապարհ |
.չմ |
|
2342-03 |
|
|
|
|
|
0.77 |
|
|
|
2342-04 |
|
|
|
|
|
1.53 |
|
|
|
2342-05 |
|
|
|
|
|
0.43 |
դաշտային ճանապարհ |
.չմ |
|
2342-06 |
|
|
|
|
|
0.68 |
|
|
|
2342-07 |
|
|
|
|
|
0.98 |
դաշտային ճանապարհ |
.չմ |
|
2343-01 |
|
|
|
|
|
0.13 |
դաշտային ճանապարհ |
.չմ |
|
2344-01 |
|
|
|
|
|
0.35 |
դաշտային ճանապարհ |
.չմ |
|
2344-02 |
|
|
|
|
|
0.13 |
դաշտային ճանապարհ |
.չմ |
|
2344-03 |
|
|
|
|
|
0.15 |
դաշտային ճանապարհ |
.չմ |
|
2344-04 |
|
|
|
|
|
0.12 |
դաշտային ճանապարհ |
.չմ |
|
2345-01 |
|
|
|
|
|
0.73 |
դաշտային ճանապարհ |
.չմ |
|
2346-01 |
|
|
|
|
|
0.61 |
դաշտային ճանապարհ |
.չմ |
|
2347-01 |
|
|
|
|
|
0.43 |
դաշտային ճանապարհ |
.չմ |
|
2348-01 |
|
|
|
|
|
0.33 |
դաշտային ճանապարհ |
.չմ |
|
2349-01 |
|
|
|
|
|
0.23 |
դաշտային ճանապարհ |
.չմ |
|
2350-01 |
|
|
|
|
|
0.29 |
դաշտային ճանապարհ |
.չմ |
|
2351-01 |
|
|
|
|
|
0.05 |
դաշտային ճանապարհ |
.չմ |
|
2352-02 |
|
|
|
|
|
0.24 |
դաշտային ճանապարհ |
.չմ |
|
2352-03 |
|
|
|
|
|
0.50 |
դաշտային ճանապարհ |
.չմ |
|
2352-04 |
|
|
|
|
|
1.17 |
դաշտային ճանապարհ |
.չմ |
|
2353-01 |
|
|
|
|
|
0.13 |
դաշտային ճանապարհ |
.չմ |
|
2354-01 |
|
|
|
|
|
0.05 |
դաշտային ճանապարհ |
.չմ |
|
2355-01 |
|
|
|
|
|
0.31 |
դաշտային ճանապարհ |
.չմ |
|
2369-01 |
|
|
|
|
|
0.44 |
դաշտային ճանապարհ |
.չմ |
|
2370-01 |
|
|
|
|
|
0.17 |
դաշտային ճանապարհ |
.չմ |
|
2371-01 |
|
|
|
|
|
0.18 |
դաշտային ճանապարհ |
.չմ |
|
2372-01 |
|
|
|
|
|
0.25 |
դաշտային ճանապարհ |
.չմ |
|
2373-01 |
|
|
|
|
|
0.36 |
դաշտային ճանապարհ |
.չմ |
|
2374-01 |
|
|
|
|
|
0.16 |
դաշտային ճանապարհ |
.չմ |
|
2375-01 |
|
|
|
|
|
0.07 |
դաշտային ճանապարհ |
.չմ |
|
2376-01 |
|
|
|
|
|
0.09 |
դաշտային ճանապարհ |
.չմ |
|
2377-01 |
|
|
|
|
|
0.32 |
դաշտային ճանապարհ |
.չմ |
|
2379-01 |
|
|
|
|
|
0.09 |
դաշտային ճանապարհ |
.չմ |
|
2380-01 |
|
|
|
|
|
0.19 |
դաշտային ճանապարհ |
.չմ |
|
2381-01 |
|
|
|
|
|
0.30 |
դաշտային ճանապարհ |
.չմ |
|
2382-01 |
|
|
|
|
|
0.06 |
դաշտային ճանապարհ |
.չմ |
|
239-001 |
|
|
|
|
|
0.32 |
|
|
|
2391-01 |
|
|
|
|
|
0.12 |
դաշտային ճանապարհ |
.չմ |
|
2392-01 |
|
|
|
|
|
0.12 |
դաշտային ճանապարհ |
.չմ |
|
2393-01 |
|
|
|
|
|
0.01 |
|
|
|
2394-01 |
|
|
|
|
|
0.11 |
|
|
|
2395-01 |
|
|
|
|
|
0.18 |
դաշտային ճանապարհ |
.չմ |
|
240-002 |
|
|
|
|
|
0.06 |
|
|
|
240-005 |
|
|
|
|
|
0.68 |
|
|
|
240-012 |
|
|
|
|
|
0.28 |
|
|
|
240-013 |
|
|
|
|
|
0.04 |
|
|
|
240-014 |
|
|
|
|
|
0.06 |
|
|
|
2401-01 |
|
|
|
|
|
0.27 |
դաշտային ճանապարհ |
.չմ |
|
2402-01 |
|
|
|
|
|
0.38 |
դաշտային ճանապարհ |
.չմ |
|
2402-01 |
|
|
|
|
|
0.16 |
|
|
|
2405-01 |
|
|
|
|
|
0.11 |
դաշտային ճանապարհ |
.չմ |
|
2406-01 |
|
|
|
|
|
0.16 |
դաշտային ճանապարհ |
.չմ |
|
2407-01 |
|
|
|
|
|
0.12 |
դաշտային ճանապարհ |
.չմ |
|
2408-01 |
|
|
|
|
|
0.05 |
դաշտային ճանապարհ |
.չմ |
|
2409-01 |
|
|
|
|
|
0.41 |
դաշտային ճանապարհ |
.չմ |
|
2409-02 |
|
|
|
|
|
0.25 |
դաշտային ճանապարհ |
.չմ |
|
2410-01 |
|
|
|
|
|
0.06 |
դաշտային ճանապարհ |
.չմ |
|
2411-01 |
|
|
|
|
|
0.05 |
դաշտային ճանապարհ |
.չմ |
|
2412-01 |
|
|
|
|
|
0.08 |
դաշտային ճանապարհ |
.չմ |
|
2413-01 |
|
|
|
|
|
0.08 |
դաշտային ճանապարհ |
.չմ |
|
2414-01 |
|
|
|
|
|
0.32 |
դաշտային ճանապարհ |
.չմ |
|
2415-01 |
|
|
|
|
|
0.10 |
դաշտային ճանապարհ |
.չմ |
|
2416-01 |
|
|
|
|
|
0.35 |
դաշտային ճանապարհ |
.չմ |
|
2417-01 |
|
|
|
|
|
0.45 |
դաշտային ճանապարհ |
.չմ |
|
2418-01 |
|
|
|
|
|
0.16 |
դաշտային ճանապարհ |
.չմ |
|
2419-01 |
|
|
|
|
|
0.18 |
դաշտային ճանապարհ |
.չմ |
|
242-001 |
|
|
|
|
|
0.50 |
|
|
|
2420-01 |
|
|
|
|
|
0.16 |
դաշտային ճանապարհ |
.չմ |
|
2420-02 |
|
|
|
|
|
0.15 |
դաշտային ճանապարհ |
.չմ |
|
2421-01 |
|
|
|
|
|
0.35 |
դաշտային ճանապարհ |
.չմ |
|
2422-01 |
|
|
|
|
|
0.15 |
դաշտային ճանապարհ |
.չմ |
|
2423-01 |
|
|
|
|
|
0.14 |
դաշտային ճանապարհ |
.չմ |
|
2424-01 |
|
|
|
|
|
0.16 |
դաշտային ճանապարհ |
.չմ |
|
2425-01 |
|
|
|
|
|
0.26 |
դաշտային ճանապարհ |
.չմ |
|
2426-01 |
|
|
|
|
|
0.11 |
դաշտային ճանապարհ |
.չմ |
|
2427-01 |
|
|
|
|
|
0.15 |
դաշտային ճանապարհ |
.չմ |
|
2428-01 |
|
|
|
|
|
0.10 |
դաշտային ճանապարհ |
.չմ |
|
2429-01 |
|
|
|
|
|
0.07 |
դաշտային ճանապարհ |
.չմ |
|
2430-01 |
|
|
|
|
|
0.20 |
դաշտային ճանապարհ |
.չմ |
|
242-020 |
|
|
|
|
|
0.26 |
|
|
|
243-025 |
|
|
|
|
|
0.05 |
|
|
|
2431-01 |
|
|
|
|
|
0.11 |
դաշտային ճանապարհ |
.չմ |
|
2432-01 |
|
|
|
|
|
0.50 |
դաշտային ճանապարհ |
.չմ |
|
2433-01 |
|
|
|
|
|
0.20 |
դաշտային ճանապարհ |
.չմ |
|
2434-01 |
|
|
|
|
|
0.19 |
դաշտային ճանապարհ |
.չմ |
|
2435-01 |
|
|
|
|
|
0.18 |
դաշտային ճանապարհ |
.չմ |
|
2436-01 |
|
|
|
|
|
0.20 |
դաշտային ճանապարհ |
.չմ |
|
2437-01 |
|
|
|
|
|
0.34 |
դաշտային ճանապարհ |
.չմ |
|
2438-01 |
|
|
|
|
|
0.23 |
դաշտային ճանապարհ |
.չմ |
|
2439-01 |
|
|
|
|
|
0.21 |
դաշտային ճանապարհ |
.չմ |
|
244-001 |
|
|
|
|
|
0.31 |
|
|
|
2440-01 |
|
|
|
|
|
0.27 |
|
|
|
2440-02 |
|
|
|
|
|
0.10 |
|
|
|
2440-03 |
|
|
|
|
|
1.36 |
դաշտային ճանապարհ |
.չմ |
|
244-012 |
|
|
|
|
|
0.23 |
|
|
|
246-002 |
|
|
|
|
|
0.56 |
|
|
|
246-011 |
|
|
|
|
|
0.05 |
|
|
|
2462-01 |
|
|
|
|
|
0.36 |
դաշտային ճանապարհ |
.չմ |
|
2463-01 |
|
|
|
|
|
0.21 |
դաշտային ճանապարհ |
.չմ |
|
2464-01 |
|
|
|
|
|
0.43 |
դաշտային ճանապարհ |
.չմ |
|
2465-01 |
|
|
|
|
|
0.29 |
դաշտային ճանապարհ |
.չմ |
|
2466-01 |
|
|
|
|
|
0.23 |
դաշտային ճանապարհ |
.չմ |
|
2467-01 |
|
|
|
|
|
0.49 |
դաշտային ճանապարհ |
.չմ |
|
2467-02 |
|
|
|
|
|
0.12 |
դաշտային ճանապարհ |
.չմ |
|
2468-01 |
|
|
|
|
|
0.23 |
դաշտային ճանապարհ |
.չմ |
|
2469-01 |
|
|
|
|
|
0.90 |
դաշտային ճանապարհ |
.չմ |
|
2470-01 |
|
|
|
|
|
0.33 |
դաշտային ճանապարհ |
.չմ |
|
2471-01 |
|
|
|
|
|
0.28 |
դաշտային ճանապարհ |
.չմ |
|
2472-01 |
|
|
|
|
|
0.40 |
դաշտային ճանապարհ |
.չմ |
|
2473-01 |
|
|
|
|
|
0.32 |
դաշտային ճանապարհ |
.չմ |
|
2474-01 |
|
|
|
|
|
0.27 |
դաշտային ճանապարհ |
.չմ |
|
2475-01 |
|
|
|
|
|
0.29 |
դաշտային ճանապարհ |
.չմ |
|
2476-01 |
|
|
|
|
|
1.22 |
դաշտային ճանապարհ |
.չմ |
|
2476-02 |
|
|
|
|
|
0.40 |
դաշտային ճանապարհ |
.չմ |
|
2477-01 |
|
|
|
|
|
1.03 |
դաշտային ճանապարհ |
.չմ |
|
2477-02 |
|
|
|
|
|
0.24 |
դաշտային ճանապարհ |
.չմ |
|
2478-01 |
|
|
|
|
|
0.65 |
դաշտային ճանապարհ |
.չմ |
|
2479-01 |
|
|
|
|
|
0.48 |
դաշտային ճանապարհ |
.չմ |
|
2480-01 |
|
|
|
|
|
1.22 |
դաշտային ճանապարհ |
.չմ |
|
248-012 |
|
|
|
|
|
0.10 |
|
|
|
248-019 |
|
|
|
|
|
0.24 |
դաշտային ճանապարհ |
.չմ |
|
2481-01 |
|
|
|
|
|
0.22 |
դաշտային ճանապարհ |
.չմ |
|
2482-01 |
|
|
|
|
|
2.41 |
դաշտային ճանապարհ |
.չմ |
|
2483-01 |
|
|
|
|
|
0.10 |
դաշտային ճանապարհ |
.չմ |
|
2484-01 |
|
|
|
|
|
0.14 |
դաշտային ճանապարհ |
.չմ |
|
2485-01 |
|
|
|
|
|
0.80 |
դաշտային ճանապարհ |
.չմ |
|
2485-02 |
|
|
|
|
|
0.07 |
դաշտային ճանապարհ |
.չմ |
|
2486-01 |
|
|
|
|
|
0.22 |
դաշտային ճանապարհ |
.չմ |
|
2487-01 |
|
|
|
|
|
0.24 |
դաշտային ճանապարհ |
.չմ |
|
2487-02 |
|
|
|
|
|
0.08 |
դաշտային ճանապարհ |
.չմ |
|
2487-03 |
|
|
|
|
|
0.33 |
դաշտային ճանապարհ |
.չմ |
|
2488-01 |
|
|
|
|
|
0.20 |
դաշտային ճանապարհ |
.չմ |
|
2489-01 |
|
|
|
|
|
0.62 |
դաշտային ճանապարհ |
.չմ |
|
2490-01 |
|
|
|
|
|
0.12 |
դաշտային ճանապարհ |
.չմ |
|
249-006 |
|
|
|
|
|
2.36 |
|
|
|
2491-01 |
|
|
|
|
|
0.15 |
դաշտային ճանապարհ |
.չմ |
|
2492-01 |
|
|
|
|
|
0.16 |
դաշտային ճանապարհ |
.չմ |
|
2493-01 |
|
|
|
|
|
0.16 |
դաշտային ճանապարհ |
.չմ |
|
2494-01 |
|
|
|
|
|
0.50 |
դաշտային ճանապարհ |
.չմ |
|
2495-01 |
|
|
|
|
|
0.19 |
դաշտային ճանապարհ |
.չմ |
|
2496-01 |
|
|
|
|
|
0.24 |
դաշտային ճանապարհ |
.չմ |
|
2497-01 |
|
|
|
|
|
0.16 |
դաշտային ճանապարհ |
.չմ |
|
2498-01 |
|
|
|
|
|
0.14 |
դաշտային ճանապարհ |
.չմ |
|
2499-01 |
|
|
|
|
|
0.60 |
դաշտային ճանապարհ |
.չմ |
|
2500-01 |
|
|
|
|
|
0.17 |
դաշտային ճանապարհ |
.չմ |
|
2501-01 |
|
|
|
|
|
0.14 |
դաշտային ճանապարհ |
.չմ |
|
2502-01 |
|
|
|
|
|
0.14 |
դաշտային ճանապարհ |
.չմ |
|
2504-01 |
|
|
|
|
|
0.40 |
դաշտային ճանապարհ |
.չմ |
|
2505-01 |
|
|
|
|
|
0.38 |
դաշտային ճանապարհ |
.չմ |
|
2506-01 |
|
|
|
|
|
0.17 |
դաշտային ճանապարհ |
.չմ |
|
2507-01 |
|
|
|
|
|
1.10 |
դաշտային ճանապարհ |
.չմ |
|
2508-02 |
|
|
|
|
|
1.04 |
դաշտային ճանապարհ |
.չմ |
|
2508-04 |
|
|
|
|
|
0.03 |
|
|
|
2508-05 |
|
|
|
|
|
0.01 |
|
|
|
2508-06 |
|
|
|
|
|
0.25 |
|
|
|
2508-07 |
|
|
|
|
|
0.4 |
|
|
|
2508-08 |
|
|
|
|
|
1.01 |
դաշտային ճանապարհ |
.չմ |
|
2508-09 |
|
|
|
|
|
0.003 |
|
|
|
2508-10 |
|
|
|
|
|
0.27 |
|
|
|
2508-11 |
|
|
|
|
|
0.14 |
|
|
|
2508-12 |
|
|
|
|
|
0.02 |
|
|
|
2508-13 |
|
|
|
|
|
0.10 |
|
|
|
2509-01 |
|
|
|
|
|
0.45 |
դաշտային ճանապարհ |
.չմ |
|
2510-06 |
|
|
|
|
|
1.27 |
դաշտային ճանապարհ |
.չմ |
|
2514-01 |
|
|
|
|
|
0.50 |
դաշտային ճանապարհ |
.չմ |
|
2515-01 |
|
|
|
|
|
0.41 |
դաշտային ճանապարհ |
.չմ |
|
2525-01 |
|
|
|
|
|
0.37 |
դաշտային ճանապարհ |
.չմ |
|
2526-01 |
|
|
|
|
|
0.14 |
դաշտային ճանապարհ |
.չմ |
|
2527-02 |
|
|
|
|
|
0.22 |
դաշտային ճանապարհ |
.չմ |
|
2528-01 |
|
|
|
|
|
0.23 |
դաշտային ճանապարհ |
.չմ |
|
2528-02 |
|
|
|
|
|
0.03 |
դաշտային ճանապարհ |
.չմ |
|
2529-02 |
|
|
|
|
|
0.24 |
դաշտային ճանապարհ |
.չմ |
|
253-001 |
|
|
|
|
|
1.99 |
|
|
|
2530-01 |
|
|
|
|
|
0.37 |
դաշտային ճանապարհ |
.չմ |
|
2531-01 |
|
|
|
|
|
1.86 |
դաշտային ճանապարհ |
.չմ |
|
2532-01 |
|
|
|
|
|
0.12 |
դաշտային ճանապարհ |
.չմ |
|
2533-01 |
|
|
|
|
|
0.23 |
դաշտային ճանապարհ |
.չմ |
|
2534-01 |
|
|
|
|
|
0.82 |
դաշտային ճանապարհ |
.չմ |
|
254-002 |
|
|
|
|
|
0.61 |
|
|
|
2541-01 |
|
|
|
|
|
0.42 |
դաշտային ճանապարհ |
.չմ |
|
2542-01 |
|
|
|
|
28.37 |
|
|
|
|
2542-02 |
|
|
|
|
|
0.03 |
|
|
|
2543-01 |
|
|
|
|
|
0.93 |
|
|
|
2543-03 |
|
|
|
|
|
0.20 |
դաշտային ճանապարհ |
.չմ |
|
2543-07 |
|
|
|
|
|
0.22 |
|
|
|
2543-08 |
|
|
|
|
|
0.08 |
|
|
|
2543-09 |
|
|
|
|
|
2.95 |
դաշտային ճանապարհ |
.չմ |
|
2544-01 |
|
|
|
|
|
1.79 |
դաշտային ճանապարհ |
.չմ |
|
2545-01 |
|
|
|
|
|
0.43 |
դաշտային ճանապարհ |
.չմ |
|
2546-01 |
|
|
|
|
|
0.50 |
դաշտային ճանապարհ |
.չմ |
|
2547-01 |
|
|
|
|
|
0.05 |
դաշտային ճանապարհ |
.չմ |
|
2548-01 |
|
|
|
|
|
0.20 |
դաշտային ճանապարհ |
.չմ |
|
2549-01 |
|
|
|
|
|
0.03 |
դաշտային ճանապարհ |
.չմ |
|
255-002 |
|
|
|
|
|
0.73 |
|
|
|
255-003 |
|
|
|
|
|
0.32 |
|
|
|
255-004 |
|
|
|
|
|
0.77 |
|
|
|
255-005 |
|
|
|
|
|
0.61 |
|
|
|
255-006 |
|
|
|
|
|
0.28 |
|
|
|
255-007 |
|
|
|
|
|
0.02 |
|
|
|
255-008 |
|
|
|
|
|
0.13 |
|
|
|
2553-01 |
|
|
|
|
|
0.05 |
դաշտային ճանապարհ |
.չմ |
|
2555-01 |
|
|
|
|
|
0.19 |
դաշտային ճանապարհ |
.չմ |
|
2556-01 |
|
|
|
|
|
0.66 |
դաշտային ճանապարհ |
.չմ |
|
2556-02 |
|
|
|
|
|
0.39 |
դաշտային ճանապարհ |
.չմ |
|
2557-01 |
|
|
|
|
|
0.12 |
դաշտային ճանապարհ |
.չմ |
|
2558-01 |
|
|
|
|
|
0.43 |
դաշտային ճանապարհ |
.չմ |
|
2559-01 |
|
|
|
|
|
0.40 |
դաշտային ճանապարհ |
.չմ |
|
256-011 |
|
|
|
|
|
0.13 |
|
|
|
2560-01 |
|
|
|
|
|
0.13 |
դաշտային ճանապարհ |
.չմ |
|
256-006 |
|
|
|
|
|
1.54 |
|
|
|
256-012 |
|
|
|
|
|
0.003 |
|
|
|
256-014 |
|
|
|
|
|
0.34 |
|
|
|
256-015 |
|
|
|
|
|
0.08 |
|
|
|
2561-01 |
|
|
|
|
|
0.01 |
դաշտային ճանապարհ |
.չմ |
|
2562-01 |
|
|
|
|
|
0.27 |
դաշտային ճանապարհ |
.չմ |
|
2563-01 |
|
|
|
|
|
0.10 |
դաշտային ճանապարհ |
.չմ |
|
2565-01 |
|
|
|
|
|
0.24 |
դաշտային ճանապարհ |
.չմ |
|
2566-01 |
|
|
|
|
|
0.31 |
|
|
|
2566-02 |
|
|
|
|
|
0.28 |
դաշտային ճանապարհ |
.չմ |
|
2567-01 |
|
|
|
|
|
1.50 |
դաշտային ճանապարհ |
.չմ |
|
2568-01 |
|
|
|
|
|
0.28 |
|
|
|
2568-02 |
|
|
|
|
|
0.59 |
դաշտային ճանապարհ |
.չմ |
|
2568-03 |
|
|
|
|
|
0.61 |
դաշտային ճանապարհ |
.չմ |
|
2569-01 |
|
|
|
|
|
0.61 |
դաշտային ճանապարհ |
.չմ |
|
2570-01 |
|
|
|
|
|
0.72 |
դաշտային ճանապարհ |
.չմ |
|
257-015 |
|
|
|
|
|
0.26 |
|
|
|
2572-01 |
|
|
|
|
|
0.41 |
|
|
|
2573-01 |
|
|
|
|
|
0.24 |
դաշտային ճանապարհ |
.չմ |
|
2574-01 |
|
|
|
|
|
0.66 |
դաշտային ճանապարհ |
.չմ |
|
258-002 |
|
|
|
|
|
0.06 |
|
|
|
258-011 |
|
|
|
|
|
0.28 |
|
|
|
2582-01 |
|
|
|
|
|
0.64 |
դաշտային ճանապարհ |
.չմ |
|
2583-01 |
|
|
|
|
|
0.11 |
դաշտային ճանապարհ |
.չմ |
|
2583-03 |
|
|
|
|
|
0.49 |
դաշտային ճանապարհ |
.չմ |
|
2583-04 |
|
|
|
|
|
1.09 |
դաշտային ճանապարհ |
.չմ |
|
2583-05 |
|
|
|
|
|
2.32 |
դաշտային ճանապարհ |
.չմ |
|
2583-06 |
|
|
|
|
|
0.73 |
դաշտային ճանապարհ |
.չմ |
|
2584-01 |
|
|
|
|
|
0.56 |
դաշտային ճանապարհ |
.չմ |
|
2584-02 |
|
|
|
|
|
0.44 |
դաշտային ճանապարհ |
.չմ |
|
2585-01 |
|
|
|
|
|
0.15 |
դաշտային ճանապարհ |
.չմ |
|
2586-01 |
|
|
|
|
|
0.09 |
դաշտային ճանապարհ |
.չմ |
|
2586-03 |
|
|
|
|
|
1.03 |
դաշտային ճանապարհ |
.չմ |
|
2587-01 |
|
|
|
|
|
0.50 |
դաշտային ճանապարհ |
.չմ |
|
2588-01 |
|
|
|
|
|
0.15 |
դաշտային ճանապարհ |
.չմ |
|
2589-01 |
|
|
|
|
|
0.57 |
դաշտային ճանապարհ |
.չմ |
|
2590-01 |
|
|
|
|
|
0.44 |
դաշտային ճանապարհ |
.չմ |
|
2590-02 |
|
|
|
|
|
0.52 |
դաշտային ճանապարհ |
.չմ |
|
259-009 |
|
|
|
|
|
0.05 |
|
|
|
2591-01 |
|
|
|
|
|
0.24 |
դաշտային ճանապարհ |
.չմ |
|
2592-01 |
|
|
|
|
|
0.67 |
դաշտային ճանապարհ |
.չմ |
|
2593-01 |
|
|
|
|
|
0.76 |
դաշտային ճանապարհ |
.չմ |
|
2595-01 |
|
|
|
|
|
0.06 |
դաշտային ճանապարհ |
.չմ |
|
2596-01 |
|
|
|
|
|
0.38 |
դաշտային ճանապարհ |
.չմ |
|
2597-01 |
|
|
|
|
|
0.10 |
դաշտային ճանապարհ |
.չմ |
|
2598-01 |
|
|
|
|
|
0.25 |
դաշտային ճանապարհ |
.չմ |
|
2599-01 |
|
|
|
|
|
0.44 |
դաշտային ճանապարհ |
.չմ |
|
2600-01 |
|
|
|
|
|
0.42 |
դաշտային ճանապարհ |
.չմ |
|
260-038 |
|
|
|
|
|
0.08 |
|
|
|
2601-01 |
|
|
|
|
|
0.24 |
դաշտային ճանապարհ |
.չմ |
|
2602-01 |
|
|
|
|
|
0.70 |
դաշտային ճանապարհ |
.չմ |
|
2603-01 |
|
|
|
|
|
0.71 |
դաշտային ճանապարհ |
.չմ |
|
2604-01 |
|
|
|
|
|
0.36 |
դաշտային ճանապարհ |
.չմ |
|
2605-01 |
|
|
|
|
|
0.64 |
դաշտային ճանապարհ |
.չմ |
|
2606-01 |
|
|
|
|
|
0.20 |
դաշտային ճանապարհ |
.չմ |
|
2607-01 |
|
|
|
|
|
0.16 |
դաշտային ճանապարհ |
.չմ |
|
2608-01 |
|
|
|
|
|
0.19 |
դաշտային ճանապարհ |
.չմ |
|
2609-01 |
|
|
|
|
|
0.19 |
դաշտային ճանապարհ |
.չմ |
|
2610-01 |
|
|
|
|
|
0.15 |
դաշտային ճանապարհ |
.չմ |
|
261-003 |
|
|
|
|
|
1.60 |
դաշտային ճանապարհ |
.չմ |
|
2611-01 |
|
|
|
|
|
0.10 |
դաշտային ճանապարհ |
.չմ |
|
2612-01 |
|
|
|
|
|
0.27 |
դաշտային ճանապարհ |
.չմ |
|
2613-01 |
|
|
|
|
|
0.14 |
դաշտային ճանապարհ |
.չմ |
|
2614-01 |
|
|
|
|
|
0.41 |
դաշտային ճանապարհ |
.չմ |
|
2615-01 |
|
|
|
|
|
0.25 |
դաշտային ճանապարհ |
.չմ |
|
2619-01 |
|
|
|
|
|
0.52 |
դաշտային ճանապարհ |
.չմ |
|
2619-02 |
|
|
|
|
|
0.03 |
դաշտային ճանապարհ |
.չմ |
|
2619-03 |
|
|
|
|
|
0.44 |
դաշտային ճանապարհ |
.չմ |
|
2619-04 |
|
|
|
|
|
0.17 |
դաշտային ճանապարհ |
.չմ |
|
2619-05 |
|
|
|
|
|
0.86 |
դաշտային ճանապարհ |
.չմ |
|
2619-06 |
|
|
|
|
|
0.46 |
դաշտային ճանապարհ |
.չմ |
|
2620-01 |
|
|
|
|
|
0.30 |
դաշտային ճանապարհ |
.չմ |
|
262-039 |
|
|
|
|
|
0.55 |
|
|
|
2621-01 |
|
|
|
|
|
0.39 |
դաշտային ճանապարհ |
.չմ |
|
2622-01 |
|
|
|
|
|
0.21 |
դաշտային ճանապարհ |
.չմ |
|
2623-01 |
|
|
|
|
|
0.21 |
դաշտային ճանապարհ |
.չմ |
|
2624-01 |
|
|
|
|
|
0.23 |
դաշտային ճանապարհ |
.չմ |
|
2625-01 |
|
|
|
|
|
1.41 |
դաշտային ճանապարհ |
.չմ |
|
2625-02 |
|
|
|
|
|
0.17 |
դաշտային ճանապարհ |
.չմ |
|
2625-04 |
|
|
|
|
|
0.16 |
դաշտային ճանապարհ |
.չմ |
|
2626-01 |
|
|
|
|
|
0.55 |
դաշտային ճանապարհ |
.չմ |
|
2627-01 |
|
|
|
|
|
2.37 |
դաշտային ճանապարհ |
.չմ |
|
263-037 |
|
|
|
|
|
0.08 |
|
|
|
2635-01 |
|
|
|
|
|
0.52 |
դաշտային ճանապարհ |
.չմ |
|
2635-02 |
|
|
|
|
|
0.14 |
դաշտային ճանապարհ |
.չմ |
|
270-005 |
|
|
|
|
|
0.25 |
|
|
|
270-010 |
|
|
|
|
|
0.01 |
|
|
|
300-002 |
7.81 |
|
|
|
|
|
|
|
|
300-016 |
0.93 |
|
|
|
|
|
|
|
|
300-017 |
0.88 |
|
|
|
|
|
|
|
|
300-018 |
0.99 |
|
|
|
|
|
|
|
|
300-019 |
0.92 |
|
|
|
|
|
|
|
|
300-020 |
1.51 |
|
|
|
|
|
|
|
|
300-021 |
0.98 |
|
|
|
|
|
|
|
|
300-022 |
0.99 |
|
|
|
|
|
|
|
|
300-023 |
0.99 |
|
|
|
|
|
|
|
|
300-024 |
1.50 |
|
|
|
|
|
|
|
|
301-001 |
|
|
|
|
|
0.33 |
|
|
|
302-011 |
|
|
|
|
|
0.10 |
|
|
|
305-007 |
18.08 |
|
|
|
|
|
|
|
|
305-008 |
|
|
|
|
|
0.04 |
|
|
|
305-010 |
|
|
|
|
|
0.62 |
|
|
|
306-001 |
|
|
|
|
|
0.43 |
|
|
|
306-004 |
29.53 |
|
|
|
|
|
|
|
|
307-014 |
|
|
|
|
|
0.06 |
|
|
|
308-007 |
|
|
|
|
|
0.41 |
|
|
|
309-016 |
|
|
|
|
|
0.01 |
|
|
|
310-022 |
|
|
|
|
|
0.13 |
|
|
|
311-001 |
|
|
|
|
|
0.42 |
|
|
|
311-013 |
|
|
|
|
|
1.05 |
|
|
|
311-014 |
|
|
|
|
|
0.35 |
դաշտային ճանապարհ |
.չմ |
|
312-005 |
|
|
|
|
|
0.11 |
|
|
|
313-006 |
|
|
|
|
|
0.11 |
|
|
|
314-006 |
|
|
|
|
|
0.12 |
|
|
|
315-007 |
|
|
|
|
|
0.14 |
|
|
|
316-003 |
|
|
|
|
|
0.23 |
|
|
|
317-001 |
|
|
|
|
|
0.15 |
|
|
|
317-017 |
|
|
|
|
|
0.09 |
|
|
|
317-018 |
|
|
|
|
|
0.08 |
դաշտային ճանապարհ |
.չմ |
|
317-019 |
|
|
|
|
|
0.08 |
|
|
|
318-001 |
|
|
|
|
|
0.08 |
|
|
|
319-001 |
|
|
|
|
|
0.09 |
|
|
|
320-001 |
|
|
|
|
|
0.09 |
|
|
|
321-001 |
|
|
|
|
|
0.08 |
|
|
|
322-001 |
|
|
|
|
|
0.08 |
|
|
|
323-001 |
|
|
|
|
|
0.62 |
|
|
|
324-001 |
|
|
|
|
|
0.07 |
դաշտային ճանապարհ |
.չմ |
|
328-014 |
|
|
|
|
|
0.05 |
դաշտային ճանապարհ |
.չմ |
|
331-001 |
|
|
|
|
|
0.29 |
|
|
|
335-001 |
|
|
|
|
|
0.22 |
|
|
|
336-001 |
|
|
|
|
|
0.97 |
|
|
|
336-005 |
|
|
|
|
|
0.12 |
դաշտային ճանապարհ |
.չմ |
|
336-007 |
|
|
|
|
|
0.08 |
|
|
|
336-008 |
|
|
|
|
|
0.004 |
|
|
|
336-009 |
|
|
|
|
|
0.004 |
|
|
|
336-010 |
|
|
|
|
|
0.02 |
|
|
|
336-012 |
|
|
|
|
|
0.01 |
|
|
|
337-001 |
|
|
|
|
|
0.36 |
|
|
|
338-001 |
|
|
|
|
|
0.07 |
|
|
|
339-001 |
|
|
|
|
|
0.71 |
|
|
|
340-001 |
|
|
|
|
|
0.19 |
|
|
|
341-001 |
|
|
|
|
|
0.79 |
|
|
|
341-006 |
|
|
|
|
|
0.03 |
|
|
|
341-013 |
|
|
|
|
|
0.06 |
|
|
|
341-017 |
|
|
|
|
|
0.07 |
դաշտային ճանապարհ |
.չմ |
|
341-018 |
|
|
|
|
|
0.22 |
դաշտային ճանապարհ |
.չմ |
|
341-019 |
|
|
|
|
|
0.18 |
դաշտային ճանապարհ |
.չմ |
|
342-002 |
|
|
|
|
|
0.03 |
|
|
|
346-003 |
|
|
|
|
|
0.06 |
|
|
|
350-001 |
|
|
|
|
|
0.19 |
|
|
|
350-005 |
|
|
|
|
|
0.11 |
|
|
|
373-004 |
|
|
|
|
|
0.01 |
|
|
|
374-001 |
|
|
|
|
|
0.01 |
|
|
|
375-007 |
|
|
|
|
|
0.28 |
|
|
|
375-010 |
|
|
|
|
|
0.06 |
|
|
|
376-005 |
|
|
|
|
|
0.06 |
|
|
|
378-005 |
|
|
|
|
|
0.07 |
|
|
|
379-005 |
|
|
|
|
|
0.09 |
|
|
|
381-001 |
|
|
|
|
|
0.38 |
|
|
|
382-002 |
|
|
|
|
|
0.06 |
|
|
|
382-005 |
|
|
|
|
|
0.08 |
|
|
|
383-001 |
|
|
|
|
|
0.04 |
|
|
|
384-001 |
|
|
|
|
|
0.04 |
|
|
|
384-011 |
|
|
|
|
|
0.24 |
|
|
|
385-001 |
|
|
|
|
|
0.06 |
|
|
|
386-001 |
|
|
|
|
|
0.25 |
|
|
|
387-001 |
|
|
|
|
|
0.09 |
|
|
|
388-001 |
|
|
|
|
|
0.16 |
|
|
|
389-001 |
|
|
|
|
|
0.49 |
|
|
|
389-003 |
|
|
|
|
|
0.06 |
|
|
|
391-001 |
|
|
|
|
|
0.18 |
|
|
|
392-001 |
|
|
|
|
|
0.27 |
|
|
|
392-006 |
|
|
|
|
|
0.12 |
|
|
|
392-007 |
|
|
|
|
|
0.27 |
|
|
|
392-027 |
|
|
|
|
|
0.05 |
դաշտային ճանապարհ |
.չմ |
|
396-029 |
|
|
|
|
|
0.01 |
|
|
|
397-011 |
|
|
|
|
|
0.11 |
|
|
|
397-012 |
|
|
|
|
|
0.58 |
|
|
|
397-057 |
|
|
|
|
|
0.34 |
|
|
|
397-059 |
|
|
|
|
|
0.43 |
|
|
|
397-063 |
|
|
|
|
|
0.18 |
|
|
|
397-068 |
|
|
|
|
|
0.11 |
|
|
|
397-069 |
|
|
|
|
|
0.02 |
|
|
|
397-070 |
|
|
|
|
|
0.08 |
|
|
|
398-001 |
|
|
|
|
|
0.33 |
|
|
|
398-005 |
|
|
|
|
|
0.71 |
|
|
|
399-005 |
|
|
|
|
|
0.18 |
|
|
|
400-001 |
|
|
|
|
|
0.36 |
|
|
|
400-018 |
|
|
|
|
|
0.03 |
|
|
|
400-021 |
|
|
|
|
|
0.08 |
դաշտային ճանապարհ |
.չմ |
|
403-006 |
|
|
|
|
|
0.07 |
|
|
|
404-001 |
|
|
|
|
|
0.04 |
|
|
|
405-001 |
|
|
|
|
|
0.05 |
|
|
|
406-002 |
|
|
|
|
|
0.18 |
|
|
|
408-010 |
|
|
|
|
|
0.04 |
|
|
|
408-011 |
|
|
|
|
|
0.03 |
|
|
|
409-008 |
|
|
|
|
|
0.06 |
|
|
|
410-005 |
|
|
|
|
|
0.05 |
|
|
|
412-001 |
|
|
|
|
|
0.32 |
դաշտային ճանապարհ |
.չմ |
|
413-002 |
|
|
|
|
|
1.43 |
|
|
|
415-003 |
|
|
|
|
|
0.02 |
|
|
|
416-007 |
|
|
|
|
|
0.13 |
|
|
|
417-001 |
|
|
|
|
|
0.45 |
|
|
|
419-001 |
|
|
|
|
|
0.03 |
|
|
|
421-001 |
|
|
|
|
|
0.22 |
|
|
|
422-001 |
|
|
|
|
|
0.13 |
|
|
|
428-001 |
|
|
|
|
|
0.32 |
|
|
|
562-012 |
|
|
|
|
|
0.03 |
|
|
|
562-013 |
|
|
|
|
|
0.06 |
|
|
|
562-014 |
|
|
|
|
|
0.06 |
|
|
|
562-015 |
|
|
|
|
|
0.12 |
|
|
|
562-017 |
|
|
|
|
|
0.30 |
դաշտային ճանապարհ |
.չմ |
|
562-018 |
|
|
|
|
|
0.17 |
|
|
|
562-019 |
|
|
|
|
|
0.10 |
դաշտային ճանապարհ |
.չմ |
|
562-069 |
|
|
|
|
|
0.01 |
|
|
|
602-021 |
|
|
|
|
|
0.17 |
դաշտային ճանապարհ |
.չմ |
|
602-032 |
|
|
|
|
|
0.09 |
|
|
|
603-002 |
|
|
|
|
|
0.09 |
|
|
|
635-010 |
|
|
|
|
|
0.88 |
|
|
|
635-011 |
|
|
|
|
|
0.02 |
|
|
|
635-012 |
|
|
|
|
|
0.01 |
|
|
|
635-013 |
|
|
|
|
|
0.001 |
|
|
|
635-014 |
|
|
|
|
|
0.08 |
|
|
|
731-004 |
|
|
|
|
|
0.05 |
|
|
|
733-007 |
|
|
|
|
|
0.16 |
|
|
|
733-008 |
|
|
|
|
|
0.06 |
|
|
|
735-015 |
|
|
|
|
|
0.04 |
|
|
|
738-013 |
|
|
|
|
|
0.05 |
|
|
|
741-001 |
|
|
|
|
|
0.23 |
|
|
|
840-038 |
|
|
|
|
|
0.05 |
|
|
|
Ընդամենը |
282.90 |
|
|
|
43.42 |
441.10 |
|
|
Հավելված N 4 էջ 1, 2, 3, 4, 5, 6, 7, 8, 9, 10, 11, 12, 13, 14, 15, 16, 17, 18, 19, 20, 21, 22, 23, 24, 25, 26, 27, 28, 29, 30, 31, 32, 33, 34, 35, 36, 37, 38, 39, 40, 41, 42, 43, 44, 45, 46, 47, 48, 49, 50, 51, 52, 53, 54, 55, 56, 57, 58, 59, 60, 61, 62, 63, 64, 65, 66, 67, 68, 69, 70, 71, 72, 73, 74, 75, 76, 77, 78, 79, 80, 81, 82, 83, 84, 85
Հայաստանի Հանրապետության
կառավարության աշխատակազմի
ղեկավար-նախարարՄ. Թոփուզյան
ՀՀ կառավարության 2005 թվականի
հուլիսի 14-ի N 1109-Ն որոշման
Ց Ա Ն Կ
ՀԱՅԱՍՏԱՆԻ ՀԱՆՐԱՊԵՏՈՒԹՅԱՆ ԱՐՄԱՎԻՐԻ ՄԱՐԶԻ ՎԱՂԱՐՇԱՊԱՏ ՔԱՂԱՔԻ ՎԱՐՉԱԿԱՆ ՍԱՀՄԱՆՆԵՐՈՒՄ ԳՏՆՎՈՂ` ՊԵՏԱԿԱՆ ՍԵՓԱԿԱՆՈՒԹՅՈՒՆ ՀԱՆԴԻՍԱՑՈՂ ՀՈՂԵՐԻՑ ՎԱՂԱՐՇԱՊԱՏ ՔԱՂԱՔԻՆ ԱՆՀԱՏՈՒՅՑ ՓՈԽԱՆՑՎՈՂ ՀՈՂԵՐԻ (ԸՍՏ ՆՊԱՏԱԿԱՅԻՆ ՆՇԱՆԱԿՈՒԹՅԱՆ)
| Հայաստանի Հանրապետության կառավարության աշխատակազմի ղեկավար-նախարար |
Մ. Թոփուզյան |
|
Հավելված N 5 |
Ց Ա Ն Կ
ՀԱՅԱՍՏԱՆԻ ՀԱՆՐԱՊԵՏՈՒԹՅԱՆ ԱՐՄԱՎԻՐԻ ՄԱՐԶԻ ՎԱՂԱՐՇԱՊԱՏ ՔԱՂԱՔԻ ՎԱՐՉԱԿԱՆ ՍԱՀՄԱՆՆԵՐՈՒՄ ԳՏՆՎՈՂ` ՊԵՏԱԿԱՆ ՍԵՓԱԿԱՆՈՒԹՅՈՒՆ ՀԱՆԴԻՍԱՑՈՂ ՀՈՂԵՐԻ (ԸՍՏ ՆՊԱՏԱԿԱՅԻՆ ՆՇԱՆԱԿՈՒԹՅԱՆ)
|
Կադաստրային |
I |
II |
III |
IV |
V |
VI |
VII |
VIII |
IX |
Ծանոթա- |
|
Գյուղատնտե- |
Բնակա- |
Արդյու- |
Էներգե- |
Հատուկ |
Հատուկ |
Անտա- |
Ջրային |
Պահուս- | ||
|
1 |
2 |
3 |
4 |
5 |
6 |
7 |
8 |
9 |
10 |
11 |
|
026-001 |
|
0.04 |
|
|
|
|
|
|
|
դպրոց |
|
026-002 |
|
0.04 |
|
|
|
|
|
|
|
դպրոց |
|
026-003 |
|
0.04 |
|
|
|
|
|
|
|
դպրոց |
|
026-004 |
|
0.04 |
|
|
|
|
|
|
|
դպրոց |
|
026-005 |
|
0.04 |
|
|
|
|
|
|
|
դպրոց |
|
026-006 |
|
0.04 |
|
|
|
|
|
|
|
դպրոց |
|
026-007 |
|
0.28 |
|
|
|
|
|
|
|
դպրոց |
|
026-008 |
|
0.08 |
|
|
|
|
|
|
|
դպրոց |
|
026-009 |
|
0.16 |
|
|
|
|
|
|
|
դպրոց |
|
026-010 |
|
0.20 |
|
|
|
|
|
|
|
դպրոց |
|
026-011 |
|
0.35 |
|
|
|
|
|
|
|
դպրոց |
|
026-012 |
|
0.09 |
|
|
|
|
|
|
|
դպրոց |
|
026-021 |
|
0.05 |
|
|
|
|
|
|
|
դպրոց |
|
026-022 |
|
0.05 |
|
|
|
|
|
|
|
դպրոց |
|
026-023 |
|
0.04 |
|
|
|
|
|
|
|
դպրոց |
|
026-024 |
|
0.07 |
|
|
|
|
|
|
|
դպրոց |
|
026-025 |
|
0.06 |
|
|
|
|
|
|
|
դպրոց |
|
026-026 |
|
0.11 |
|
|
|
|
|
|
|
դպրոց |
|
026-027 |
|
0.04 |
|
|
|
|
|
|
|
դպրոց |
|
026-028 |
|
0.01 |
|
|
|
|
|
|
|
դպրոց |
|
026-030 |
|
0.33 |
|
|
|
|
|
|
|
դպրոց |
|
026-031 |
|
0.03 |
|
|
|
|
|
|
|
դպրոց |
|
026-032 |
|
0.02 |
|
|
|
|
|
|
|
դպրոց |
|
049-017 |
|
0.60 |
|
|
|
|
|
|
|
դպրոց |
|
051-017-12 |
|
|
|
|
|
0.01 |
|
|
|
հատուկ նշ. հող. |
|
051-071 |
|
|
|
|
|
6.36 |
|
|
|
հատուկ նշ. հող. |
|
072-055 |
|
0.21 |
|
|
|
|
|
|
|
դպրոց |
|
072-057 |
|
0.15 |
|
|
|
|
|
|
|
դպրոց |
|
072-058 |
|
0.03 |
|
|
|
|
|
|
|
դպրոց |
|
072-059 |
|
0.03 |
|
|
|
|
|
|
|
դպրոց |
|
072-060 |
|
0.04 |
|
|
|
|
|
|
|
դպրոց |
|
072-061 |
|
0.01 |
|
|
|
|
|
|
|
դպրոց |
|
072-062 |
|
0.02 |
|
|
|
|
|
|
|
դպրոց |
|
072-063 |
|
1.79 |
|
|
|
|
|
|
|
դպրոց |
|
081-016 |
|
|
|
|
|
|
0.65 |
|
|
հատուկ նշ. հող. |
|
084-023 |
|
|
0.80 |
|
|
|
|
|
|
դպրոց |
|
093-001 |
|
|
0.95 |
|
|
|
|
|
|
դպրոց |
|
095-010 |
|
|
|
|
|
0.11 |
|
|
|
հուշարձան |
|
1018-13 |
|
|
|
|
|
|
|
0.42 |
|
դրենաժ |
|
1029-05 |
3.06 |
|
|
|
|
|
|
|
|
վարելահող |
|
1029-06 |
3.50 |
|
|
|
|
|
|
|
|
վարելահող |
|
1029-07 |
3.20 |
|
|
|
|
|
|
|
|
վարելահող |
|
1029-08 |
3.23 |
|
|
|
|
|
|
|
|
վարելահող |
|
1030-01 |
3.31 |
|
|
|
|
|
|
|
|
վարելահող |
|
1030-02 |
22.19 |
|
|
|
|
|
|
|
|
վարելահող |
|
1030-04 |
1.33 |
|
|
|
|
|
|
|
|
վարելահող |
|
1031-01 |
41.05 |
|
|
|
|
|
|
|
|
վարելահող |
|
1031-02 |
40.63 |
|
|
|
|
|
|
|
|
վարելահող |
| 1032-01 |
1.13 |
մարզ. նշ. ճանապ. | ||||||||
|
1033-01 |
|
|
|
0.65 |
|
|
|
|
|
մարզ. նշ. ճանապ. |
|
1034-00 |
|
|
|
|
|
0.16 |
|
|
|
հատուկ նշ. հող. |
|
1034-00 |
|
|
|
|
|
0.70 |
|
|
|
հատուկ նշ. հող. |
|
1034-00 |
|
|
|
|
|
0.06 |
|
|
|
հատուկ նշ. հող. |
|
1046-01 |
|
|
|
12.11 |
|
|
|
|
|
կոյուղի |
|
1051-07 |
|
|
|
|
|
|
|
0.01 |
|
դրենաժ |
|
1052-05 |
|
|
|
|
|
|
|
0.40 |
|
դրենաժ |
| 1052-08 |
0.01 |
դրենաժ | ||||||||
|
1052-09 |
|
|
|
|
|
|
|
0.02 |
|
դրենաժ |
|
1057-02 |
|
|
|
|
|
|
|
0.13 |
|
դրենաժ |
|
1062-12 |
|
|
|
|
|
|
|
0.68 |
|
դրենաժ |
|
1062-13 |
|
|
|
|
|
|
|
0.89 |
|
դրենաժ |
|
1062-18 |
|
|
|
|
|
|
|
2.09 |
|
դրենաժ |
|
1063-07 |
|
|
|
|
|
|
|
0.49 |
|
դրենաժ |
|
1063-08 |
|
|
|
|
|
|
|
1.21 |
|
դրենաժ |
|
1063-10 |
|
|
|
|
|
|
|
0.82 |
|
դրենաժ |
|
1064-06 |
|
|
|
|
|
|
|
0.19 |
|
դրենաժ |
|
1064-07 |
|
|
|
|
|
|
|
0.32 |
|
դրենաժ |
|
1064-08 |
|
|
|
|
|
|
|
0.41 |
|
դրենաժ |
|
1077-10 |
|
|
|
|
|
|
|
0.30 |
|
դրենաժ |
|
1077-21 |
|
|
|
|
|
|
|
0.43 |
|
դրենաժ |
|
1077-22 |
|
|
|
|
|
|
|
0.23 |
|
դրենաժ |
|
1085-03 |
|
3.70 |
|
|
|
|
|
|
դպրոց | |
|
1314-02 |
|
|
|
9.20 |
|
|
|
|
|
մարզ. նշ. ճանապ. |
|
1314-03 |
|
|
|
0.38 |
|
|
|
|
|
մարզ. նշ. ճանապ. |
|
1314-04 |
|
|
|
3.56 |
|
|
|
|
|
մարզ. նշ. ճանապ. |
|
1314-05 |
|
|
|
3.00 |
|
|
|
|
|
մարզ. նշ. ճանապ. |
|
1314-06 |
|
|
|
0.08 |
|
|
|
|
|
մարզ. նշ. ճանապ. |
|
1314-07 |
|
|
|
0.15 |
|
|
|
|
|
մարզ. նշ. ճանապ. |
|
1314-08 |
|
|
|
0.31 |
|
|
|
|
|
մարզ. նշ. ճանապ. |
|
1314-09 |
|
|
|
4.26 |
|
|
|
|
|
մարզ. նշ. ճանապ. |
|
1314-10 |
|
|
|
0.21 |
|
|
|
|
|
մարզ. նշ. ճանապ. |
|
1314-11 |
|
|
|
0.18 |
|
|
|
|
|
մարզ. նշ. ճանապ. |
|
1314-12 |
|
|
|
0.68 |
|
|
|
|
|
մարզ. նշ. ճանապ. |
|
1314-13 |
|
|
|
1.69 |
|
|
|
|
|
մարզ. նշ. ճանապ. |
|
1314-14 |
|
|
|
0.82 |
|
|
|
|
|
մարզ. նշ. ճանապ. |
|
1314-17 |
|
|
|
0.05 |
|
|
|
|
|
մարզ. նշ. ճանապ. |
|
1320-02 |
|
|
|
0.01 |
|
|
|
|
|
միջպետական ճանապ. |
|
1320-03 |
|
|
|
1.18 |
|
|
|
|
|
միջպետական ճանապ. |
|
1320-04 |
|
|
|
2.03 |
|
|
|
|
|
մարզ. նշ. ճանապ. ջրանցք |
|
1322-01 |
|
|
|
|
|
|
|
0.93 |
|
դրենաժ |
|
1324-01 |
|
|
|
|
|
|
|
0.93 |
|
դրենաժ |
|
1325-01 |
|
|
|
|
|
|
|
0.67 |
|
դրենաժ |
|
1326-01 |
|
|
|
|
|
|
|
0.57 |
|
դրենաժ |
|
1328-01 |
|
|
|
2.80 |
|
|
|
|
|
երկաթգիծ |
|
1329-03 |
|
|
|
|
|
|
|
0.98 |
|
ջրանցք |
|
1330-01 |
|
|
|
|
|
|
|
0.08 |
|
ջրանցք |
|
1330-08 |
|
|
|
|
|
|
|
0.60 |
|
դրենաժ |
|
1330-09 |
|
|
|
|
|
|
|
0.89 |
|
դրենաժ |
|
1338-01 |
|
|
|
|
|
|
|
0.19 |
|
դրենաժ |
|
1343-05 |
|
|
|
|
|
|
|
2.64 |
|
ջրանցք |
|
1362-01-02 |
|
|
|
2.22 |
|
|
|
|
|
մարզ. նշ. ճանապ. |
|
1362-02 |
|
|
|
0.25 |
|
|
|
|
|
մարզ. նշ. ճանապ. |
|
1409-01 |
|
|
|
|
|
|
|
0.20 |
|
դրենաժ |
|
1423-01 |
|
|
|
2.15 |
|
|
|
|
|
մարզ. նշ. ճանապ. |
|
1423-02 |
|
|
|
2.45 |
|
|
|
|
|
մարզ. նշ. ճանապ. |
|
1423-05-01 |
|
|
|
1.20 |
|
|
|
|
|
մարզ. նշ. ճանապ. |
|
1423-09-01 |
|
|
|
4.20 |
|
|
|
|
|
միջպետական ճանապ. |
|
1423-09-02 |
|
|
|
0.11 |
|
|
|
|
|
մարզ. նշ. ճանապ. |
|
2012-02 |
|
|
|
2.59 |
|
|
|
|
|
մարզ. նշ. ճանապ. |
|
2131-01 |
0.20 |
|
|
|
|
|
|
|
|
վարելահող |
|
2193-67 |
|
|
|
|
|
0.37 |
|
|
|
հատուկ նշ. հող. |
|
2508-03 |
|
|
|
|
|
|
|
1.98 |
|
դրենաժ |
|
2510-01 |
|
|
|
1.45 |
|
|
|
|
|
միջպետական ճանապ. |
|
2510-02 |
|
|
|
2.15 |
|
|
|
|
|
միջպետական ճանապ. |
|
2510-03 |
|
|
|
0.99 |
|
|
|
|
|
միջպետական ճանապ. |
|
2519-01 |
|
|
|
0.70 |
|
|
|
|
|
միջպետական ճանապ. |
|
2527-01 |
|
|
|
|
|
|
|
0.40 |
|
դրենաժ |
|
2529-01 |
|
|
|
|
|
|
|
0.17 |
|
դրենաժ |
|
2529-03 |
|
|
|
|
|
|
|
0.01 |
|
դրենաժ |
|
2529-04 |
|
|
|
|
|
|
|
0.11 |
|
դրենաժ |
|
2543-02 |
|
|
|
|
|
|
|
0.14 |
|
դրենաժ |
|
2543-05 |
|
|
|
|
|
|
|
0.03 |
|
դրենաժ |
|
2550-01 |
|
|
|
|
|
|
|
0.72 |
|
դրենաժ |
|
2554-01 |
|
|
|
1.48 |
|
|
|
|
|
երկաթգիծ |
|
256-010 |
|
|
|
|
|
2.70 |
|
|
|
հատուկ նշ. հող. |
|
2581-02 |
|
|
|
|
0.03 |
|
|
|
|
հուշարձան |
|
506-048 |
|
1.04 |
|
|
|
|
|
|
|
վարժարան |
|
516-003 |
|
|
|
|
|
0.16 |
|
|
|
հատուկ նշ. հող. |
|
516-004 |
|
0.74 |
|
|
|
|
|
|
|
դպրոց |
|
560-002 |
|
1.22 |
|
|
|
|
|
|
|
դպրոց |
|
562-001 |
|
|
|
|
|
19.78 |
|
|
|
հատուկ նշ. հող. |
|
562-009-01 |
|
|
|
|
|
|
7.12 |
|
|
անտառ |
|
562-011 |
|
1.08 |
|
|
|
|
|
|
|
Երկր. և բուս. գիտ. ինստ. ՊՈԱԿ |
|
562-016 |
|
|
|
|
|
6.26 |
|
|
|
Երկր. և բուս. գիտ. ինստ. ՊՈԱԿ |
|
602-001 |
|
1.70 |
|
|
|
|
|
|
|
Երկր. և բուս. գիտ. ինստ. ՊՈԱԿ |
|
602-002 |
|
0.001 |
|
|
|
|
|
|
|
Երկր. և բուս. գիտ. ինստ. ՊՈԱԿ |
|
602-003 |
|
0.06 |
|
|
|
|
|
|
|
Երկր. և բուս. գիտ. ինստ. ՊՈԱԿ |
|
602-004 |
|
0.10 |
|
|
|
|
|
|
|
Երկր. և բուս. գիտ. ինստ. ՊՈԱԿ |
|
602-005 |
|
0.05 |
|
|
|
|
|
|
|
Երկր. և բուս. գիտ. ինստ. ՊՈԱԿ |
|
602-006 |
|
0.07 |
|
|
|
|
|
|
|
Երկր. և բուս. գիտ. ինստ. ՊՈԱԿ |
|
602-007 |
|
0.11 |
|
|
|
|
|
|
|
Երկր. և բուս. գիտ. ինստ. ՊՈԱԿ |
|
602-008 |
|
0.14 |
|
|
|
|
|
|
|
Երկր. և բուս. գիտ. ինստ. ՊՈԱԿ |
|
602-022 |
|
1.25 |
|
|
|
|
|
|
|
Երկր. և բուս. գիտ. ինստ. ՊՈԱԿ |
|
602-024 |
|
1.27 |
|
|
|
|
|
|
|
Երկր. և բուս. գիտ. ինստ. ՊՈԱԿ |
|
602-025 |
|
0.004 |
|
|
|
|
|
|
|
Երկր. և բուս. գիտ. ինստ. ՊՈԱԿ |
|
602-026 |
|
0.18 |
|
|
|
|
|
|
|
Երկր. և բուս. գիտ. ինստ. ՊՈԱԿ |
|
602-027 |
|
0.03 |
|
|
|
|
|
|
|
Երկր. և բուս. գիտ. ինստ. ՊՈԱԿ |
|
602-028 |
|
0.02 |
|
|
|
|
|
|
|
Երկր. և բուս. գիտ. ինստ. ՊՈԱԿ |
|
602-029 |
|
0.03 |
|
|
|
|
|
|
|
Երկր. և բուս. գիտ. ինստ. ՊՈԱԿ |
|
602-030 |
|
0.18 |
|
|
|
|
|
|
|
Երկր. և բուս. գիտ. ինստ. ՊՈԱԿ |
|
633-001 |
2.37 |
|
|
|
|
|
|
|
|
վարելահող |
|
634-001 |
1.15 |
|
|
|
|
|
|
|
|
վարելահող |
|
811-005 |
|
1.55 |
|
|
|
|
|
|
|
գիշերօթիկ |
|
811-006 |
|
0.10 |
|
|
|
|
|
|
|
գիշերօթիկ |
|
811-007 |
|
0.05 |
|
|
|
|
|
|
|
գիշերօթիկ |
|
812-001-01 |
|
1.91 |
|
|
|
|
|
|
|
դպրոց |
|
882-030-01 |
|
2.40 |
|
|
|
|
|
|
|
դպրոց |
|
840-021 |
|
|
|
|
14.10 |
|
|
|
|
հուշարձան |
|
840-032 |
|
|
|
|
0.44 |
|
|
|
|
հուշարձան |
|
840-033 |
|
|
|
|
0.04 |
|
|
|
|
հուշարձան |
|
842-001 |
|
1.46 |
|
|
|
|
|
|
|
դպրոց |
|
887-001 |
|
|
|
|
|
0.22 |
|
|
|
հատուկ նշ. հող. |
|
887-020 |
|
0.32 |
|
|
|
|
|
|
|
դպրոց |
|
888-015 |
|
|
|
|
|
0.69 |
|
|
|
հատուկ նշ. հող. |
|
903-165 |
|
0.19 |
|
|
|
|
|
|
|
գիշերօթիկ |
|
903-169 |
|
|
|
|
0.14 |
|
|
|
|
հուշարձան |
|
903-170 |
|
|
|
|
0.003 |
|
|
|
|
հուշարձան |
|
903-171 |
|
|
|
|
0.002 |
|
|
|
|
հուշարձան |
|
903-172 |
|
|
|
|
0.002 |
|
|
|
|
հուշարձան |
|
903-173 |
|
|
|
|
0.01 |
|
|
|
|
հուշարձան |
|
903-175 |
|
0.36 |
|
|
|
|
|
|
|
ուսումնարան |
|
903-176 |
|
0.25 |
|
|
|
|
|
|
|
ուսումնարան |
|
909-001 |
|
1.91 |
|
|
|
|
|
|
|
դպրոց |
|
909-002 |
|
0.02 |
|
|
|
|
|
|
|
դպրոց |
|
909-003 |
|
0.05 |
|
|
|
|
|
|
|
դպրոց |
|
909-005 |
|
0.01 |
|
|
|
|
|
|
|
դպրոց |
|
909-006 |
|
0.01 |
|
|
|
|
|
|
|
դպրոց |
|
909-007 |
|
0.01 |
|
|
|
|
|
|
|
դպրոց |
|
909-008 |
|
0.42 |
|
|
|
|
|
|
|
դպրոց |
|
909-009 |
|
0.05 |
|
|
|
|
|
|
|
դպրոց |
|
909-010 |
|
0.01 |
|
|
|
|
|
|
|
դպրոց |
|
909-011 |
|
0.01 |
|
|
|
|
|
|
|
դպրոց |
|
909-013 |
|
0.002 |
|
|
|
|
|
|
|
դպրոց |
|
909-014 |
|
0.003 |
|
|
|
|
|
|
|
դպրոց |
|
909-015 |
|
0.01 |
|
|
|
|
|
|
|
դպրոց |
|
909-019 |
|
0.01 |
|
|
|
|
|
|
|
դպրոց |
|
909-020 |
|
0.01 |
|
|
|
|
|
|
|
դպրոց |
|
909-021 |
|
0.01 |
|
|
|
|
|
|
|
դպրոց |
|
909-023 |
|
0.03 |
|
|
|
|
|
|
|
դպրոց |
|
909-024 |
|
0.05 |
|
|
|
|
|
|
|
դպրոց |
|
909-025 |
|
0.07 |
|
|
|
|
|
|
|
դպրոց |
|
909-027 |
|
0.30 |
|
|
|
|
|
|
|
դպրոց |
|
909-034 |
|
0.07 |
|
|
|
|
|
|
|
դպրոց |
|
909-035 |
|
0.18 |
|
|
|
|
|
|
|
դպրոց |
|
909-036 |
|
1.36 |
|
|
|
|
|
|
|
դպրոց |
|
909-038 |
|
0.16 |
|
|
|
|
|
|
|
դպրոց |
|
909-039 |
|
0.07 |
|
|
|
|
|
|
|
դպրոց |
|
909-040 |
|
0.04 |
|
|
|
|
|
|
|
դպրոց |
|
909-041 |
|
0.03 |
|
|
|
|
|
|
|
դպրոց |
|
909-043 |
|
0.03 |
|
|
|
|
|
|
|
դպրոց |
|
909-044 |
|
0.02 |
|
|
|
|
|
|
|
դպրոց |
|
909-045 |
|
0.05 |
|
|
|
|
|
|
|
դպրոց |
|
909-046 |
|
0.06 |
|
|
|
|
|
|
|
դպրոց |
|
909-047 |
|
0.02 |
|
|
|
|
|
|
|
դպրոց |
|
909-048 |
|
0.03 |
|
|
|
|
|
|
|
դպրոց |
|
909-049 |
|
0.01 |
|
|
|
|
|
|
|
դպրոց |
|
Ընդամենը |
125.22 |
33.53 |
|
66.42 |
14.87 |
38.12 |
7.12 |
21.29 |
|
|
| Հայաստանի Հանրապետության կառավարության աշխատակազմի ղեկավար-նախարար |
Մ. Թոփուզյան |
|
Հավելված N 6 |
Հ Ա Շ Վ Ե Տ Վ ՈՒ Թ Յ ՈՒ Ն
ՀԱՅԱՍՏԱՆԻ ՀԱՆՐԱՊԵՏՈՒԹՅԱՆ ԱՐՄԱՎԻՐԻ ՄԱՐԶԻ ՎԱՂԱՐՇԱՊԱՏ ՔԱՂԱՔԻ ՀՈՂԱՅԻՆ ՖՈՆԴԻ ԱՌԿԱՅՈՒԹՅԱՆ ԵՎ ԲԱՇԽՄԱՆ ՄԱՍԻՆ
2005 թվականի հունվարի 1-ի դրությամբ
(հեկտարներով)
|
NN |
Նպա- |
Հողա- |
Ծած- |
Ընդամենը (2+3+4+8+12) |
Սեփականության սուբյեկտ | ||||||||||
|
ՀՀ քա- |
ՀՀ իրա- |
համայնքային |
պետական |
օտար- | |||||||||||
|
ընդամենը (5+6+7) |
տրված |
վարձա- |
օգտա- |
ընդամենը (9+10+11) |
տրված |
վար- |
օգ- | ||||||||
|
Ա |
Բ |
Գ |
1 |
2 |
3 |
4 |
5 |
6 |
7 |
8 |
9 |
10 |
11 |
12 | |
|
1.1 |
1. Գյու- |
վարելահող |
2333.99 |
1925.87 |
282.90 |
125.22 |
|||||||||
|
1.2 |
բազմ. տնկ. |
170.12 |
170.12 |
0.00 |
|||||||||||
|
1.2.1 |
այդ թվում` |
21.73 |
21.73 |
|
|||||||||||
|
1.2.2 |
խաղողի այգի |
148.39 |
148.39 |
||||||||||||
|
1.2.3 |
այլ բազմամյա |
||||||||||||||
|
1.3 |
խոտհարք |
||||||||||||||
|
1.4 |
արոտ |
43.42 |
43.42 |
||||||||||||
|
1.5 |
այլ |
458.11 |
17.01 |
441.10 |
|||||||||||
|
1 |
ընդամենը |
3005.64 |
2113.00 |
767.42 |
125.22 |
||||||||||
|
2.1 |
2. Բնա- |
բնակելի |
496.22 |
478.33 |
17.89 |
||||||||||
|
2.1.1 |
այդ թվում` |
478.33 |
478.33 |
||||||||||||
|
2.1.2 |
այգեգ-ն |
|
|
||||||||||||
|
2.2 |
հասարակ. |
72.56 |
1.32 |
37.71 |
33.53 |
||||||||||
|
2.3 |
խառը |
28.02 |
2.97 |
25.05 |
|||||||||||
|
2.4 |
ընդհ. |
165.83 |
165.83 |
||||||||||||
|
2.5 |
այլ հողեր |
83.93 |
|
83.93 |
|||||||||||
|
2 |
ընդամենը |
846.56 |
482.62 |
330.41 |
33.53 |
||||||||||
|
3.1 |
3. Արդյու- |
արդյունաբ. |
182.06 |
7.77 |
174.29 |
||||||||||
|
3.2 |
գյուղտն. արտադ. |
142.17 |
30.59 |
111.58 |
|||||||||||
|
3.3 |
պահեստա- |
1.48 |
1.48 |
||||||||||||
|
3.4 |
ընդերք. |
|
|
||||||||||||
|
3 |
ընդամենը |
325.71 |
38.36 |
287.35 |
|||||||||||
|
4.1 |
4. Էներգե- |
էներգե- |
3.43 |
3.43 |
|||||||||||
|
4.2 |
կապի |
0.87 |
0.87 |
||||||||||||
|
4.3 |
տրանսպորտի |
57.47 |
3.16 |
54.31 |
|||||||||||
|
4.4 |
կոմուն. |
13.82 |
1.71 |
12.11 |
|||||||||||
|
4 |
ընդամենը |
75.58 |
9.16 |
66.42 |
|||||||||||
|
5.1 |
5. Հատուկ պահ- |
բնապահպան. |
|||||||||||||
|
5.1.1 |
այդ թվում` արգելոց. |
||||||||||||||
|
5.1.2 |
արգելա-վայրեր |
||||||||||||||
|
5.1.3 |
ազգային պարկ |
||||||||||||||
|
5.2 |
առողջա- |
||||||||||||||
|
5.3 |
հանգստի |
||||||||||||||
|
5.4 |
պատմ. և մշատութ. |
101.09 |
33.92 |
52.30 |
14.87 |
||||||||||
|
5 |
ընդամենը |
101.09 |
33.92 |
52.30 |
14.87 |
||||||||||
|
6 |
6. Հատուկ նշանա- |
ընդամենը |
38.12 |
38.12 |
|||||||||||
|
7.1 |
7. Անտա- |
անտառ |
7.12 |
7.12 |
|||||||||||
|
7.2 |
թփուտ |
||||||||||||||
|
7.3 |
վարելահող |
||||||||||||||
|
7.4 |
խոտհարք |
||||||||||||||
|
7.5 |
արոտ |
||||||||||||||
|
7.6 |
այլ հողեր |
||||||||||||||
|
7 |
ընդամենը |
7.12 |
7.12 |
||||||||||||
|
8.1 |
8. Ջրային |
գետեր |
|||||||||||||
|
8.2 |
ջրամբարներ |
|
|
||||||||||||
|
8.3 |
լճեր |
|
|
|
|||||||||||
|
8.4 |
ջրանցքներ |
5.98 |
|
2.28 |
|
3.70 |
|||||||||
|
8.5 |
հդտ. և |
19.01 |
1.42 |
17.59 |
|||||||||||
|
8 |
ընդամենը |
24.99 |
3.70 |
21.29 |
|||||||||||
|
9.1 |
9. Պա- |
աղուտներ |
|
||||||||||||
|
9.2 |
ավազուտներ |
||||||||||||||
|
9.3 |
ճահիճներ |
||||||||||||||
|
9.4 |
|||||||||||||||
|
9.5 |
այլ անօգտա- |
||||||||||||||
|
9 |
ընդամենը |
||||||||||||||
|
ԸՆԴԱՄԵՆԸ` ՀՈՂԵՐ (1+2+3+4+5+6+7+8+9) |
4424.82 |
2633.98 |
33.92 |
1450.34 |
306.57 |
||||||||||
Հայաստանի Հանրապետության
կառավարության աշխատակազմի
ղեկավար-նախարարՄ. Թոփուզյան
|
Հավելված N 7 |
Հ Ա Շ Վ Ե Տ Վ ՈՒ Թ Յ ՈՒ Ն
ՀԱՅԱՍՏԱՆԻ ՀԱՆՐԱՊԵՏՈՒԹՅԱՆ ԱՐՄԱՎԻՐԻ ՄԱՐԶԻ ՎԱՂԱՐՇԱՊԱՏ ՔԱՂԱՔԻ ՈՌՈԳՎՈՂ ՀՈՂԵՐԻ ԱՌԿԱՅՈՒԹՅԱՆ ԵՎ ԲԱՇԽՄԱՆ ՄԱՍԻՆ
NN Նպա- Գործառական Ընդամենը Սեփականության սուբյեկտը ՀՀ քաղա- ՀՀ իրա- համայն- պետա- օտար- Ա Բ Գ 1 2 3 4 5 6 1.1 1. Գյուղա- վարելահող 2333.99 1925.87 282.90 125.22 1.2 բազմամյա տնկարկներ, 170.12 170.12 0.00 1.2.1 այդ թվում` 21.73 21.73 1.2.2 խաղողի այգի 148.39 148.39 1.2.3 այլ 1.3 խոտհարք 0.00 1.4 արոտ 1.5 այլ հողատեսքեր 1 ընդամենը 2504.11 2095.99 282.90 125.22 2.1 2. Բնակա- բնակելի կառուցապատման 430.00 430.00 2.1.1 այդ թվում` տնամերձ հողեր 430.00 430.00 2.1.2 այգեգործական 2.2 ընդհանուր օգտագործման 2.3 այլ հողեր 2 ընդամենը (2.1+2.2+2.3) 430.00 430.00 3 3. Արդյունաբերության, ընդերքօգտագործման և այլ 4 4. Էներգետիկայի, տրանսպորտի, կապի և կոմունալ ենթակառուցվածքների օբյեկտների 5 5. Հատուկ պահպանվող տարածքների 6 6. Հատուկ նշանակության 7.1 7. Անտառային անտառ 7.2 թփուտ 7.3 վարելահող 7.4 խոտհարք 7.5 արոտ 7.6 այլ հողեր 7 ընդամենը 8 8. Ջրային 9 9. Պահուստային ԸՆԴԱՄԵՆԸ` ՈՌՈԳՎՈՂ ՀՈՂԵՐ 2934.11 2525.99 282.90 125.22
ը/կ
տակային
նշանա-
կությունը
նշանակությունը,
հողատեսքըԾած-
կա-
գիրը
ոռոգվող
հողեր
(2+3+4+5+6)
քացի-
ների
վաբա-
նական անձանց
քային
կան
երկրյա
պետու-
թյունների, կազմա-
կերպու-
թյունների
և ՀՀ-ում
կացության
հատուկ
կարգա-
վիճակ
ունեցող
անձանց
տնտեսա-
կան
ընդամենը
պտղատու այգի
(1.1+1.2+1.3+1.4+1.5)
վայրերի
(ամառանոցային)
արտադրական նշանակության օբեկտների
(7.1+7.2+7.3+7.4+7.5+7.6)
(1+2+3+4+5+6+7+8+9)
| Հայաստանի Հանրապետության կառավարության աշխատակազմի ղեկավար-նախարար |
Մ. Թոփուզյան |