«Գրանցված է»
ՀՀ արդարադատության
նախարարության կողմից
5 հոկտեմբերի 2012 թ.
Պետական գրանցման թիվ 10012365
ՀԱՅԱՍՏԱՆԻ ՀԱՆՐԱՊԵՏՈՒԹՅԱՆ
ԱՌՈՂՋԱՊԱՀՈՒԹՅԱՆ ՆԱԽԱՐԱՐ
|
14 օգոստոսի 2012 թ. |
N 13-Ն |
Հ Ր Ա Մ Ա Ն
«ԲՆԱԿՉՈՒԹՅԱՆ ՇՐՋԱՆՈՒՄ ԿԱՏԱՂՈՒԹՅՈՒՆ ՀԻՎԱՆԴՈՒԹՅԱՆ ԿԱՆԽԱՐԳԵԼՈՒՄ» ՍԿ 3.1.1-0-26-12 ՍԱՆԻՏԱՐԱՀԱՄԱՃԱՐԱԿԱԲԱՆԱԿԱՆ ԿԱՆՈՆՆԵՐԸ ԵՎ ՆՈՐՄԵՐԸ ՀԱՍՏԱՏԵԼՈՒ ՄԱՍԻՆ
Ղեկավարվելով «Հայաստանի Հանրապետության բնակչության սանիտարահամաճարակային անվտանգության ապահովման մասին» ՀՀ օրենքի 4-րդ հոդվածը, Հայաստանի Հանրապետության կառավարության 2002 թվականի օգոստոսի 15-ի N 1300-Ն որոշմամբ հաստատված Հայաստանի Հանրապետության առողջապահության նախարարության կանոնադրության 12-րդ կետ «դ» ենթակետը և Հայաստանի Հանրապետությունում կատաղություն հիվանդության նկատմամբ համաճարակաբանական հսկողությունն ավելի լիարժեք, արդյունավետ և եվրոպական մոտեցումներին համահունչ դարձնելու նպատակով`
ՀՐԱՄԱՅՈՒՄ ԵՄ՝
Հաստատել «Բնակչության շրջանում կատաղություն հիվանդության կանխարգելում» ՍԿ 3.1.1-0-26-12 սանիտարահամաճարակաբանական կանոնները և նորմերը` համաձայն հավելվածի:
|
Դ. Դումանյան |
|
Հավելված ՀՀ առողջապահության նախարարի 2012 թվականի օգոստոսի 14-ի թիվ 13-Ն հրամանի |
ԲՆԱԿՉՈՒԹՅԱՆ ՇՐՋԱՆՈՒՄ ԿԱՏԱՂՈՒԹՅՈՒՆ ՀԻՎԱՆԴՈՒԹՅԱՆ ԿԱՆԽԱՐԳԵԼՈՒՄ
ՍԱՆԻՏԱՐԱՀԱՄԱՃԱՐԱԿԱԲԱՆԱԿԱՆ ԿԱՆՈՆՆԵՐ ԵՎ ՆՈՐՄԵՐ
ՍԿ 3. ՍԿ 3.1.1-0-26-12
Գ Լ ՈՒ Խ 1.
ԿԻՐԱՐԿՄԱՆ ՈԼՈՐՏ
1. Սույն սանիտարահամաճարակաբանական կանոնները և նորմերը (այսուհետ՝ Կանոններ) սահմանում են կազմակերպչական և սանիտարահակահամաճարակային (կանխարգելիչ) միջոցառումների նկատմամբ հիմնական պահանջներ, որոնք ուղղված են Հայաստանի Հանրապետությունում կատաղության հիվանդության առաջացման կանխարգելմանը:
2. Սույն Կանոնները նախատեսված են բոլոր բժշկական օգնություն և սպասարկում իրականացնող կազմակերպությունների` անկախ կազմակերպաիրավական և սեփականության ձևից, ինչպես նաև պետական կառավարման և տեղական ինքնակառավարման մարմինների ենթակայության բուժկանխարգելիչ, լաբորատոր ախտորոշիչ, ինչպես նաև անհատական բժշկական գործունեություն իրականացնող բժիշկների և միջին բուժաշխատողների, Հայաստանի Հանրապետության առողջապահության նախարարության Հիվանդությունների վերահսկման և կանխարգելման կենտրոն փակ բաժնետիրական ընկերության համար:
3. Սույն Կանոնների պահանջների կատարման նկատմամբ հսկողությունն իրականացնում է Հայաստանի Հանրապետության առողջապահության նախարարության աշխատակազմի պետական հիգիենիկ և հակահամաճարակային տեսչությունը:
Գ Լ ՈՒ Խ 2.
ԸՆԴՀԱՆՈՒՐ ԴՐՈՒՅԹՆԵՐ
4. Սույն Կանոններում կիրառվում են հետևյալ հասկացություները`
1) Ոչ պայմանական կուրս - կենդանու մոտ կատաղության կլինիկական նշանների առկայության դեպքում, անկախ լաբորատոր հետազոտությունների բացասական արդյունքից, բուժման կուրս:
2) Պայմանական կուրս - երբ հսկողության ներքո գտնվող կենդանին հիվանդին կծելուց կամ վնասելուց հետո 10 օրվա ընթացքում չի հիվանդացել կամ չի սատկել` հակակատաղության բուժման կուրսի դադարեցում:
5. Կատաղությունը (հիդրոֆոբիա) - սուր վիրուսային զոոնոզ հիվանդություն է` պոլիէնցեֆալիտին բնորոշ ախտանշաններով: Մարդու մոտ կլինիկական ախտանշանների առկայության դեպքում հիվանդությունն ավարտվում է մահով:
6. Բնության մեջ վարակի հիմնական աղբյուր և պահոց (ռեզերվուար) համարվում են գիշատիչ կենդանիները, չղջիկները, առնետները իսկ կենցաղում` ընտանի կենդանիները (շներ, կատուներ) < գյուղատնտեսական կենդանիները: Հաշվի առնելով հարուցիչի պահոցը (ռեզերվուար)` տարբերում են քաղաքային և բնական տիպի էպիզոոտիաներ: Քաղաքային տիպի էպիզոոտիաներում վարակի հիմնական աղբյուր են հանդիսանում թափառող շները և կատուները, իսկ բնական տիպի էպիզոոտիաներում` վայրի գիշատիչ կենդանիները: Գիշատիչ կենդանիների բարձր խտությամբ վայրերում ձևավորվում են կատաղության հիվանդության բնական օջախներ:
7. Մարդու համար վարակի աղբյուր համարվում են հիվանդության գաղտնի շրջանում կամ կատաղության կլինիկական դրսևորումներով կենդանիները: Գաղտնի շրջանը որոշվում է վնասվածքի / կծվածի տեղակայմամբ, ծանրությամբ և տատանվում է մի քանի օրից մինչև 1 տարի և ավելի:
8. Վարակի փոխանցման մեխանիզմը` մարդու անմիջական շփումն է վարակի աղբյուրի հետ (մաշկի կամ արտաքին լորձաթաղանթների ամբողջականության խախտում` կծելու, թքոտելու, ճանկռելու և այլնի արդյունքում, ինչպես նաև թքոտում մաշկի և արտաքին լորձաթաղանթների ամբողջության պահպանման դեպքում):
9. Կատաղության հիվանդության հարուցիչը լավ պահպանվում է ցուրտ պայմաններում, քայքայվում է թթուների ազդեցությունից, արագ ոչնչանում է մինչև 560 տաքացնելիս:
Գ Լ ՈՒ Խ 3.
ԿԱՏԱՂՈՒԹՅՈՒՆ ԱԽՏՈՐՈՇՄԱՄԲ ՀԻՎԱՆԴՆԵՐԻ ԿԱՄ ԿԱՍԿԱԾԵԼԻՆԵՐԻ ՀԱՅՏՆԱԲԵՐՈՒՄԸ, ՀԱՇՎԱՌՈՒՄԸ ԵՎ ՀԱՂՈՐԴՈՒՄԸ
10. Բնակչության շրջանում կատաղություն հիվանդության դեպքերը հայտնաբերվում են բժշկական օգնություն և սպասարկում իրականացնող կազմակերպությունների բժիշկների կողմից` անկախ կազմակերպաիրավական ձևից, պետական կառավարման հիմնարկի ենթակայությունից, և ենթակա են անհատական հաշվառման` համաձայն Հայաստանի Հանրապետության առողջապահության նախարարի 2010 թվականի դեկտեմբերի 17-ի «Վարակիչ հիվանդությունների «իրական ժամանակում» էլեկտրոնային համաճարակաբանական հսկողության սանիտարահամաճարակային նորմերի և կանոնների հաստատման մասին» N 35-Ն հրամանով:
11. Հայտնաբերումն իրականացվում է կենդանու կողմից կծելու, թքոտելու, ճանկռելու արդյունքում մաշկի ամբողջականության խախտումներով անձի բժշկական օգնություն և սպասարկում ստանալու համար դիմելու ժամանակ:
12. Կատաղության հիվանդությունն ախտորոշվում է Հայաստանի Հանրապետության առողջապահության նախարարի 2011 թվականի դեկտեմբերի 26-ի թիվ 31-Ն, Հայաստանի Հանրապետության արտակարգ իրավիճակների նախարարի 2012 թվականի հունվարի 11-ի թիվ 02-Ն, Հայաստանի Հանրապետության գյուղատնտեսության նախարարի 2011 թվականի դեկտեմբերի 30-ի թիվ 258-Ն, Հայաստանի Հանրապետության բնապահպանության նախարարի 2011 թվականի դեկտեմբերի 29-ի թիվ 301-Ն Հայաստանի Հանրապետության կառավարությանն առընթեր միջուկային անվտանգության կարգավորման պետական կոմիտեի նախագահի 2011 թվականի դեկտեմբերի 27-ի թիվ 325-Ն հրամաններով հաստատված «Կենսաբանական, քիմիական և ճառագայթային գործոններով պայմանավորված հանրային առողջապահության ոլորտում միջազգային նշանակության արտակարգ իրավիճակ ներկայացնող դեպք` երևույթների (վարակիչ հիվանդությունների, թունավորումների, ճառագայթային ախտահարումների դեպքեր) ստանդարտ բնորոշումների» համաձայն:
13. Բժշկական օգնություն և սպասարկում իրականացնող կազմակերպությունների բուժաշխատողը, ում դիմել են կենդանիների կողմից տուժածները կամ ով հայտնաբերել է կատաղություն հիվանդությամբ հիվանդ կամ կասկածելի անձանց, հավաքում է համաճարակաբանական վերհուշ (անամնեզ) և վերջինիս վերաբերյալ գրանցումներն իրականացվում են «Կենդանիների կողմից տուժված դեպքերի գրանցման և հաշվառման» մատյանում՝ համաձայն սույն Կանոնների հավելվածի, ձև 1-ի:
14. Կենդանիների կողմից կծվածության կամ կատաղության հիվանդության դեպքերի վերաբերյալ հաղորդումն իրականացվում է համաձայն Հայաստանի Հանրապետության առողջապահության նախարարի 2010 թվականի դեկտեմբերի 17-ի «Վարակիչ հիվանդությունների «իրական ժամանակում» էլեկտրոնային համաճարակաբանական հսկողության սանիտարահամաճարակային նորմերի և կանոնների հաստատման մասին» N 35-Ն հրամանի:
15. Համաճարակաբանական վերհուշի հավաքման ժամանակ բուժաշխատողները պարզում են տուժածի վրա հարձակված կենդանու վերաբերյալ բոլոր տվյալները (կենդանու կողմից հարձակման պայմանները, կենդանու վիճակը)` նշելով վայրը և ժամանակը: Դրանք գրանցվում են`
1) առաջնային բժշկական օգնություն և սպասարկում իրականացնող կազմակերպություններում` հիվանդի ամբուլատոր քարտում,
2) հիվանդանոցային բժշկական օգնություն և սպասարկում իրականացնող կազմակերպություններում` տուժածի նկատմամբ իրականացված միջամտությունների վերաբերյալ տրվող տեղեկանքում:
Գ Լ ՈՒ Խ 4.
ՄԻՋՈՑԱՌՈՒՄՆԵՐ ԿԱՏԱՂՈՒԹՅՈՒՆ ԱԽՏՈՐՈՇՄԱՄԲ ՀԻՎԱՆԴ ԿԱՄ ԿԱՍԿԱԾԵԼԻ ԱՆՁԱՆՑ ՆԿԱՏՄԱՄԲ
16. Բժշկական օգնություն և սպասարկում իրականացնող կազմակերպություններում ապահովվում են`
1) հակափայտացման անատոքսին,
2) հակափայտացման շիճուկ,
3) հակակատաղության պատվաստանյութ,
4) հակակատաղության իմունագլոբուլին,
5) վերքի առաջնային մշակման համար անհրաժեշտ պարագաներ, դեղորայք,
6) առաջնային և մասնագիտացված բժշկական օգնության կազմակերպման համար անհրաժեշտ պարագաներ, դեղորայք:
17. Տուժածի բժշկական օգնության դիմելու ժամանակ բուժաշխատողները`
1) անհապաղ իրականացնում են առաջին բժշկական օգնություն` վերքի, քերծվածքի, ճանկռվածքի, թքոտված մասի ջրի շթի տակ օճառով լվացում, վերքի եզրերի մշակում յոդի թուրմով` ապահովելով մանրէազերծ վիրակապ: Կենդանու կողմից հասցված վերքի եզրերը, առաջին 3 օրվա ընթացքում չեն հեռացվում և չեն կարվում, բացառությամբ այն դեպքերի, որոնք` ելնելով կյանքի ցուցումից, պահանջում են վիրաբուժական միջամտություն,
2) իրականացնում են փայտացում հիվանդության դեմ միջոցառումներ` համաձայն Հայաստանի Հանրապետության առողջապահության նախարարի 2010 թվականի դեկտեմբերի 14-ի «Հայաստանի Հանրապետությունում փայտացման համաճարակաբանական հսկողություն» N 3.1.1-014-10 սանիտարահամաճարակային կանոնները և նորմերը հաստատելու մասին» N 33-Ն հրամանի,
3) ուղեգրում են բժիշկ-վնասվածքաբանի կամ վնասվածքաբանի բացակայության ժամանակ վիրաբույժի մոտ:
18. Վնասվածքաբանը կամ վիրաբույժը որոշում է`
1) հակակատաղության կանխարգելիչ պատվաստումների կուրսի (պայմանական և ոչ պայմանական) նշանակումը` տեղեկացնելով հիվանդին պատվաստումների և դրանից հրաժարվելու դեպքում բարդությունների մասին,
2) կանխարգելիչ պատվաստումների պայմանական և ոչ պայմանական կուրսի նշանակումը կախված է տուժածի կծված վերքի տեղակայումից, կենդանու առողջական վիճակից (վարակված լինելու հավանականություն), կենդանու հայտնի կամ անհայտ լինելու հանգամանքից և այլն,
3) յուրաքանչյուր առանձին դեպքի համար բժշկական օգնության, բուժման ծավալները, դրանց անհրաժեշտությունը, ցուցումները կամ հակացուցումները:
19. Վնասվածքաբանը կամ վիրաբույժը վերադասին ներկայացնում է հակակատաղության բուժման կուրս ապահովելու համար անհրաժեշտ պարագաների, պատրաստուկների ձեռքբերման համար առաջարկություններ:
20. Հիվանդները, որոնց մոտ զարգացել է կատաղություն հիվանդության կլինիկա կամ կասկած, ենթակա են պարտադիր հոսպիտալացման:
21. Կենդանիների կողմից արձանագրված կծվածության դեպքերի վարումն իրականացվում է համաձայն սույն Կանոնների հավելվածի, ձև 2-ի:
Գ Լ ՈՒ Խ 5.
ՄԻՋՈՑԱՌՈՒՄՆԵՐ ԿԱՏԱՂՈՒԹՅՈՒՆ ԱԽՏՈՐՈՇՄԱՄԲ ՀԻՎԱՆԴ ԿԱՄ ԿԱՍԿԱԾԵԼԻ ԽՈՑԵԼԻ ՔԱՆԱԿԱԿԱԶՄԵՐԻՆ ՊԱՏԿԱՆՈՂ ԱՆՁԱՆՑ ՆԿԱՏՄԱՄԲ
22. Խոցելի քանակակազմերի անձանց` հղիներ, խրոնիկ հիվանդությամբ տառապողներ, այդ թվում` երեխաներ, նկատմամբ միջոցառումներն իրականացվում են սույն Կանոնների 4-րդ գլխի համաձայն:
23. Խոցելի քանակակազմերի անձանց կանխարգելիչ պատվաստումները` ելնելով տուժածի ընթացիկ առողջական վիճակից, իրականացվում են հիվանդանոցային պայմաններում:
Գ Լ ՈՒ Խ 6.
ԲՈՒԺԱՇԽԱՏՈՂՆԵՐԻ ՇՐՋԱՆՈՒՄ ՎԱՐԱԿԻ ՀՍԿՈՂՈՒԹՅՈՒՆԸ
24. Վարակի փոխանցման ռիսկը գնահատելիս հաշվի են առնվում հիվանդների ստացիոնարում գտնվելու տևողությունը, վարակիչ ազդակների գոյացմանը նպաստող միջամտությունները:
25. Կատաղությամբ հիվանդի կամ կասկածելիի հետ շփվող բուժանձնակազմն աշխատում է անհատական պաշտպանիչ արտահագուստով (բժշկական խալաթ, ակնոց, դիմակ և ձեռնոցներ):
Գ Լ ՈՒ Խ 7.
ԲԺՇԿԱԿԱՆ ՆՇԱՆԱԿՈՒԹՅԱՆ ՍԱՐՔԵՐԻ ԵՎ ՍԱՐՔԱՎՈՐՈՒՄՆԵՐԻ, ՇՐՋԱՊԱՏԻ ԱՌԱՐԿԱՆԵՐԻ ՄԱԿԵՐԵՍՆԵՐԻ ԱԽՏԱՀԱՆՄԱՆ, ՆԱԽԱՄԱՆՐԷԱԶԵՐԾՄԱՆ ԵՎ ՄԱՆՐԷԱԶԵՐԾՄԱՆ, ՕՋԱԽՆԵՐՈՒՄ ԱԽՏԱՀԱՆՄԱՆ ԱՇԽԱՏԱՆՔՆԵՐԻ ԿԱԶՄԱԿԵՐՊՈՒՄԸ
26. Հիվանդի, կասկածելիի հետ շփված բժշկական նշանակության բոլոր գործիքները ենթարկվում են ախտահանման և վարակազերծման` համաձայն Հայաստանի Հանրապետության առողջապահության նախարարի 2008 թվականի նոյեմբերի 20-ի «Հայաստանի Հանրապետությունում տուբերկուլոզի համաճարակաբանական հսկողության N 3.1.1-010-08 սանիտարահամաճարակային նորմերը և կանոնները հաստատելու մասին» N 21-Ն և Հայաստանի Հանրապետության առողջապահության նախարարի 2010 թվականի հուլիսի 17-ի «Ախտահանման, կրծողասպան և միջատասպան աշխատանքների կազմակերպման, իրականացման և աշխատողների առողջության պահպանման» ՍՆ 2.2.5-003-10 սանիտարական կանոնները և նորմերը հաստատելու մասին» թիվ 13-Ն հրամանների:
Գ Լ ՈՒ Խ 8.
ԿԱՏԱՂՈՒԹՅԱՆ ԼԱԲՈՐԱՏՈՐ ԱԽՏՈՐՈՇՈՒՄԸ
27. Կատաղություն հիվանդության լաբորատոր ախտորոշումն իրականացվում է մարդու համար ախտածնության 1-2-րդ խմբերի միկրոօրգանիզմների հետ աշխատելու թույլտվություն ունեցող լաբորատորիաներում:
28. Հիվանդների նմուշների հավաքումը, պահպանումը և տեղափոխումն իրականացվում է Հայաստանի Հանրապետության առողջապահության նախարարի 2006 թվականի դեկտեբերի 6-ի «Մարդու համար ախտածնության 1-2-րդ խմբերի միկրոօրգանիզմների հաշվառման, պահպանման, հանձնման և տեղափոխման կարգը հաստատելու մասին» թիվ 1409-Ն հրամանի պահանջների համաձայն:
Գ Լ ՈՒ Խ 9.
ԲՆԱԿՉՈՒԹՅԱՆ ՇՐՋԱՆՈՒՄ ԿԱՏԱՂՈՒԹՅՈՒՆ ՀԻՎԱՆԴՈՒԹՅԱՆ ԱԽՏՈՐՈՇՄԱՆ ԴԵՊՔՈՒՄ ՍԱՆԻՏԱՐԱՀԱԿԱՀԱՄԱՃԱՐԱԿԱՅԻՆ ԵՎ ԿԱՆԽԱՐԳԵԼԻՉ ՄԻՋՈՑԱՌՈՒՄՆԵՐԸ
29. Հայաստանի Հանրապետության տեղական ինքնակառավարման և տեղական ինքնակառավարման մարմինների կողմից մշակվում և գործադրվում են շահագրգիռ կառույցների հետ համատեղ ծրագրեր` թափառող կենդանիներին վերաբերող հարցերի, փոխտեղեկատվության, համապատասխան կանխարգելիչ և հակահամաճարակային միջոցառումներ կազմակերպելու, բուժկանխարգելիչ հաստատություններում անհրաժեշտ պարագաների, պատվաստանյութերի, դեղորայքի ապահովվածության վերաբերյալ:
30. Յուրաքանչյուր դեպքի առնչությամբ, բոլոր շահագրգիռ կառույցների հետ (Հայաստանի Հանրապետության առողջապահության, Հայաստանի Հանրապետության գյուղատնտեսության նախարարություններ, Հայաստանի Հանրապետության տեղական ինքնակառավարման և տեղական ինքնակառավարման մարմիններ և այլն) իրականացվում է հետազոտություն` հիվանդության օջախի սահմանները որոշելու և համապատասխան միջոցառումներ կազմակերպելու և իրականացնելու համար:
31. Կատաղության կասկածելի դեպքի արձանագրման ժամանակ իրականացվում են սանիտարահակահամաճարակային միջոցառումներ, ինչպես նաև հայտնաբերվում են վարակման ռիսկի ենթարկված տուժած այլ անձինք:
32. Կենդանիների շրջանում դեպքերի զանգվածային արձանագրման դեպքում, վարակման ռիսկի ենթարկված անձանց հայտնաբերման նպատակով իրականացվում են բակային համայցեր` բուժաշխատողների և անասնաբույժների մասնակցությամբ:
33. Վարակման ռիսկի ենթարկված անձինք ուղեգրվում են բժիշկ-վնասվածքաբանի կամ վիրաբույժի մոտ խորհրդատվության կամ բժշկական օգնության ցուցաբերման համար:
34. Յուրաքանչյուր բժշկական օգնություն և սպասարկում իրականացնող կազմակերպությունում ապահովվում է վնասվածքաբանական բաժանմունք կամ սենյակ` տուժածներին հակակատաղության օգնության ցուցաբերման նպատակով:
Գ Լ ՈՒ Խ 10.
ԲՆԱԿՉՈՒԹՅԱՆ ՇՐՋԱՆՈՒՄ ՀԵՏԱԶԴԱԿԱՅԻՆ ԿԱՆԽԱՐԳԵԼՈՒՄԸ
35. Մարդու հակակատաղության յուրահատուկ բուժումը (հետազդակային կանխարգելում), սկսվում է մինչև կենդանիների լաբորատոր հետազոտությունների արդյունքների ստացումը:
36. Հետազդակային կանխարգելումն իրականացվում է սահմանված կարգով թույլատրված իմունակենսաբանական պատրաստուկներով` ուղեկցող փաստաթղթերին / հրահանգներին համապատասխան:
37. Կենդանու լաբորատոր հետազոտության դրական արդյունքի դեպքում սկսված հակակատաղության յուրահատուկ բուժումը շարունակվում է, իսկ բացասական արդյունքի դեպքում` դադարեցվում:
38. Հակակատաղության պատվաստումների կուրսի այս կամ այն պատճառով խախտումների դեպքում (պատվաստումների ժամկետների չպահպանում, պատրաստուկի ներմուծման հերթականության խախտումներ և այլն) իրականացվում է իմուն կարգավիճակի որոշում` հետագա բուժման կուրսի ընթացքը որոշելու համար:
39. Իմուն կարգավիճակի որոշումը պարտադիր է այն հիվանդների համար, ում յուրահատուկ բուժումն իրականացվում է կորտիկոստերոիդների և իմունադեպրեսանտների ընդունման ֆոնի վրա, ինչպես նաև ՄԻԱՎ վարակակիրների համար:
40. Բուժման կուրսի և կանխարգելիչ պատվաստումների ավարտից հետո, ստացված պատվաստումների վերաբերյալ, տուժածի առաջնային բժշկական օգնության և սպասարկման կազմակերպությունում` ամբուլատոր քարտում, իսկ հիվանդանոցային հաստատությունում` հիվանդի պատմության քարտում կատարվում են գրանցումներ:
41. Հակակատաղության բուժումն իր մեջ ներառում է` վերքի մշակում, որն իրականացվում է կծելուց կամ վնասելուց հետո հնարավորինս շուտ և հակակատաղության պատվաստանյութի ներարկումից առաջ:
42. Ցուցումների առկայության դեպքում իրականացվում է բուժման համակցված կուրս (պասիվ կանխարգելման նպատակով` հակակատաղության իմունագլոբուլին և հակակատաղության պատվաստում` ուղեկցող փաստաթղթին համապատասխան), տվյալները գրանցվում են տուժածի առաջնային բժշկական օգնության և սպասարկման կազմակերպությունում` ամբուլատոր քարտում, իսկ ստացիոնարում` հիվանդի պատմության քարտում:
43. Ստացիոնար պայմաններում վերքի մշակման, կանխարգելիչ պատվաստումների, բուժման համակցված կուրսի իրականացման դեպքում: Սույն կետում նշված միջոցառումների մասին տուժածին բժշկական օգնություն և սպասարկում իրականացնող կազմակերպության կողմից տրամադրվում է տեղեկանք` ստացած պատվաստման, պատվաստանյութի սերիայի, պիտանելիության ժամկետի, իրականացված չափաբաժնի, ընթացքում արձանագրված բարդությունների վերաբերյալ` անհրաժեշտության դեպքում այլ բժշկական կազմակերպություններում հետագա միջոցառումների նպատակային իրականացման համար:
44. Տուժածի նկատմամբ կանխարգելիչ պատվաստումների հետագա իրականացումը կամ հետագա վարումն առաջնային բժշկական օգնության և սպասարկման կազմակերպություններում իրականացնելու դեպքում ստացիոնարի կողմից տրամադրված տեղեկանքը փակցվում է տուժածի ամբուլատոր քարտում:
Գ Լ ՈՒ Խ 11.
ԿԱՏԱՂՈՒԹՅԱՆ ԴԵՄ ԿԱՆԽԱՐԳԵԼԻՉ ՊԱՏՎԱՍՏՈՒՄՆԵՐԸ
45. Կատաղության դեմ կանխարգելիչ պատվաստումներն իրականացվում են Հայաստանի Հանրապետության առողջապահության նախարարի 2008 թվականի հոկտեմբերի 15-ի «Հայաստանի Հանրապետությունում իմունականխարգելման գործընթացի կազմակերպում և իրականացում» N 3.1.6.009-08 սանիտարահամաճարակային կանոնները և նորմերը հաստատելու մասին» N 20-Ն հրամանի:
Գ Լ ՈՒ Խ 12.
ԲՆԱԿՉՈՒԹՅԱՆ ՇՐՋԱՆՈՒՄ ԻՐԱԶԵԿՄԱՆ, ԱՌՈՂՋ ԱՊՐԵԼԱԿԵՐՊԻ ՔԱՐՈԶՉՈՒԹՅԱՆ ԵՎ ԲԺՇԿԱՀԻԳԻԵՆԻԿ ԳԻՏԵԼԻՔՆԵՐԻ ՏԱՐԱԾՄԱՆ ԿԱԶՄԱԿԵՐՊՈՒՄԸ
46. Հայաստանի Հանրապետության առողջապահության և գյուղատնտեսության նախարարությունների կողմից բնակչության շրջանում, կատաղության կանխարգելման նպատակով, իրականացվում են իրազեկման աշխատանքներ, որն իր մեջ ներառում է`
1) կոնկրետ բնակավայրում մարդկանց և կենդանիների կատաղության հիվանդության համապատասխանաբար համաճարակային և անասնահամաճարակային իրավիճակի,
2) կենդանիների կողմից տուժելու դեպքում անհապաղ բժշկական օգնության դիմելու անհրաժեշտության,
3) հիվանդության ախտանշանների,
4) ընտանի կենդանիների պատվաստումների անհրաժեշտության,
5) ընտանի կաթնասուններ պահելիս դրանց նկատմամբ պարտավորությունների մասին (վարժեցում, առանձնացված վայրերում զբոսանք, բերնկալների կրում և այլն):
Գ Լ ՈՒ Խ 13.
ԿԱՏԱՂՈՒԹՅՈՒՆ ԱԽՏՈՐՈՇՄԱՄԲ ՀԻՎԱՆԴՆԵՐԻ ՎԱՐՄԱՆ ԳՈՐԾԸՆԹԱՑՈՒՄ ԲԺՇԿԱԿԱՆ ԹԱՓՈՆՆԵՐԻ ՈՉՆՉԱՑՄԱՆ ԿԱԶՄԱԿԵՐՊՈՒՄԸ
47. Կատաղություն ախտորոշմամբ հիվանդների վարման գործընթացում առաջացած բժշական թափոնների ոչնչացումն իրականացվում է Հայաստանի Հ անրապետության առողջապահության նախարարի 2008 թվականի մարտի 24-ի «Բժշկական թափոնների գործածությանը ներկայացվող հիգիենիկ և հակահամաճարակային պահանջներ» N 2.1.3-3 սանիտարական կանոնները և նորմերը հաստատելու մասին» N 03-Ն հրամանով հաստատված բժշկական թափոնների անվտանգ գործածության ուղեցույցի պահանջների համաձայն:
|
Հավելված «Բնակչության շրջանում կատաղություն հիվանդության կանխարգելում» ՍԿ 3.1.1-0-26-12 ՍԿՆ |
Ձև 1
Մ Ա Տ Յ Ա Ն
ԿԵՆԴԱՆԻՆԵՐԻ ԿՈՂՄԻՑ ՏՈՒԺՎԱԾ ԴԵՊՔԵՐԻ ԳՐԱՆՑՄԱՆ ԵՎ ՀԱՇՎԱՌՄԱՆ
|
N |
Հեռախոսով շտապ հաղորդման |
Շտապ հաղորդումն ուղարկող բժշկական օգնություն և սպասարկում իրականացնող կազմակերպության անվանում |
Տուժածի ԱԱՀ |
Տարիք |
Հասցե |
Տուժելու ամսաթիվ |
Առաջին անգամ բժշկական օգնության դիմելու ամսաթիվ |
Վնասվածքի նկարագրություն |
Կատարված |
Կենդանու մասին տվյալներ |
Ելք |
Նկատառում | |
|
Վերքի մշակում |
Կանխարգելիչ պատվաս-տումներ | ||||||||||||
|
1 |
2 |
3 |
4 |
5 |
6 |
7 |
8 |
9 |
10 |
11 |
12 |
13 |
14 |
|
Հավելված «Բնակչության շրջանում կատաղություն հիվանդության կանխարգելում» ՍԿ 3.1.1-0-26-12 ՍԿՆ |
Ձև 2
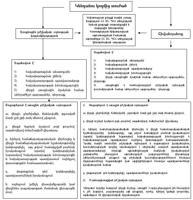
Ա Լ Գ Ո Ր Ի Թ Մ
կենդանիների կողմից արձանագրված կծվածության դեպքերի վարման
Իմունակենսաբանական պատրաստուկների պահպանումը, տեղափոխումը, կանխարգելիչ պատվաստումները կազմակերպվում և իրականացվում են համաձայն Հայաստանի Հանրապետության առողջապահության նախարարի 2008 թվականի հոկտեմբերի 15-ի «Հայաստանի Հանրապետությունում իմունականխարգելման գործընթացի կազմակերպում և իրականացում N 3.1.6.009-08 սանիտարահամաճարակային կանոնները և նորմերը հաստատելու մասին» N 20-Ն հրամանի